Point Spread Function#
As a function of of true energy and offset angle (PSF_TABLE)#
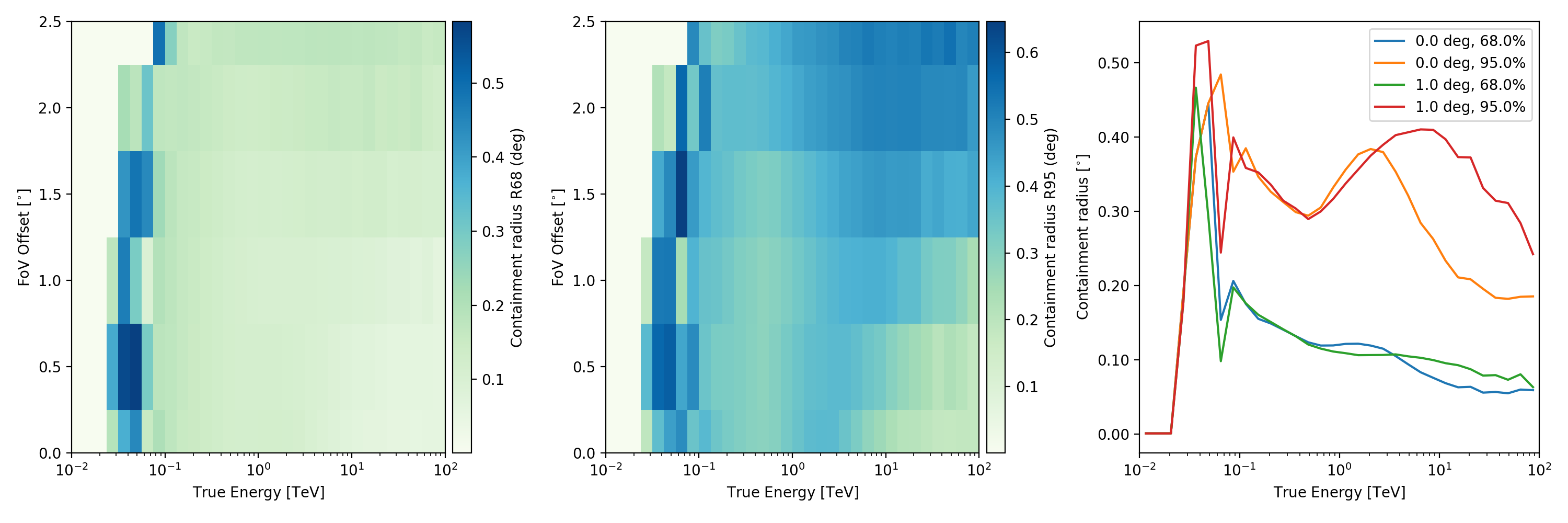
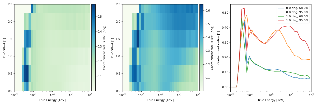
The PSF3D
class represents the radially symmetric probability
density of the angular separation between true and reconstructed directions
\(\delta p = p_{\rm true} - p\) (or rad
), as a function of
true energy and offset angle from the field of view center
(\(PSF(E_{\rm true}, \delta p|p_{\rm true})\) in Instrument Response Functions (DL3).
Its format specifications are available in PSF_TABLE.
This is the format in which IACT DL3 PSFs are usually provided, as an example:
"""Plot a PSF from the HESS DL3 data release 1."""
import matplotlib.pyplot as plt
from gammapy.irf import PSF3D
filename = "$GAMMAPY_DATA/hess-dl3-dr1/data/hess_dl3_dr1_obs_id_020136.fits.gz"
psf = PSF3D.read(filename, hdu="PSF")
psf.peek()
plt.show()

Additional PSF classes#
The remaining IRF classes implement:
EnergyDependentMultiGaussPSF
a PSF whose probability density is parametrised by the sum of 1 to 3 2-dimensional gaussian (definition at PSF_3GAUSS);PSFKing
a PSF whose probability density is parametrised by the King function (definition at PSF_KING);PSFKernel
a PSF that can be used to convolveWcsNDMap
objects;PSFMap
a four-dimensionalMap
storing aPSFKernel
for each sky position.