Data analysis#

The following set of tutorials are devoted to data analysis, and grouped according to the specific covered use cases in spectral analysis and flux fitting, image and cube analysis modelling and fitting, as well as time-dependent analysis with light-curves.

1D Spectral#

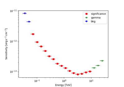
Point source sensitivity

Point source sensitivity

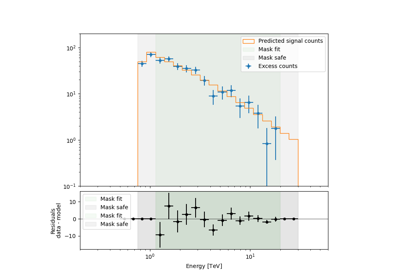
Spectral analysis

Spectral analysis

Spectral analysis with the HLI

Spectral analysis with the HLI

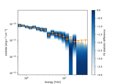
Spectral analysis of extended sources

Spectral analysis of extended sources

1D spectrum simulation

1D spectrum simulation

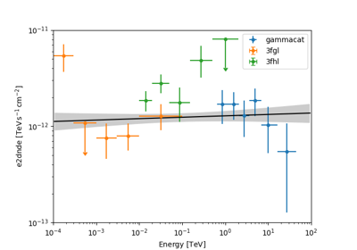
Flux point fitting

Flux point fitting