Note
Go to the end to download the full example code. or to run this example in your browser via Binder
Low level API#
Introduction to Gammapy analysis using the low level API.
Prerequisites#
Understanding the gammapy data workflow, in particular what are DL3 events and instrument response functions (IRF).
Understanding of the data reduction and modeling fitting process as shown in the analysis with the high level interface tutorial High level interface
Context#
This notebook is an introduction to gammapy analysis this time using the lower level classes and functions the library. This allows to understand what happens during two main gammapy analysis steps, data reduction and modeling/fitting.
Objective: Create a 3D dataset of the Crab using the H.E.S.S. DL3 data release 1 and perform a simple model fitting of the Crab nebula using the lower level gammapy API.
Proposed approach#
Here, we have to interact with the data archive (with the
DataStore
) to retrieve a list of selected observations
(Observations
). Then, we define the geometry of the
MapDataset
object we want to produce and the maker
object that reduce an observation to a dataset.
We can then proceed with data reduction with a loop over all selected observations to produce datasets in the relevant geometry and stack them together (i.e.sum them all).
In practice, we have to:
Create a
DataStore
pointing to the relevant dataApply an observation selection to produce a list of observations, a
Observations
object.Define a geometry of the Map we want to produce, with a sky projection and an energy range.
Create a
MapAxis
for the energyCreate a
WcsGeom
for the geometryCreate the necessary makers:
the map dataset maker
MapDatasetMaker
the background normalization maker, here a
FoVBackgroundMaker
and usually the safe range maker :
SafeMaskMaker
Perform the data reduction loop. And for every observation:
Apply the makers sequentially to produce the current
MapDataset
Stack it on the target one.
Define the
SkyModel
to apply to the dataset.Create a
Fit
object and run it to fit the model parametersApply a
FluxPointsEstimator
to compute flux points for the spectral part of the fit.
Setup#
First, we setup the analysis by performing required imports.
from pathlib import Path
from astropy import units as u
from astropy.coordinates import SkyCoord
from regions import CircleSkyRegion
# %matplotlib inline
import matplotlib.pyplot as plt
from gammapy.data import DataStore
from gammapy.datasets import MapDataset
from gammapy.estimators import FluxPointsEstimator
from gammapy.makers import FoVBackgroundMaker, MapDatasetMaker, SafeMaskMaker
from gammapy.maps import MapAxis, WcsGeom
from gammapy.modeling import Fit
from gammapy.modeling.models import (
FoVBackgroundModel,
PointSpatialModel,
PowerLawSpectralModel,
SkyModel,
)
from gammapy.utils.check import check_tutorials_setup
from gammapy.visualization import plot_npred_signal
Check setup#
check_tutorials_setup()
System:
python_executable : /home/runner/work/gammapy-docs/gammapy-docs/gammapy/.tox/build_docs/bin/python
python_version : 3.11.13
machine : x86_64
system : Linux
Gammapy package:
version : 2.0
path : /home/runner/work/gammapy-docs/gammapy-docs/gammapy/.tox/build_docs/lib/python3.11/site-packages/gammapy
Other packages:
numpy : 2.1.3
scipy : 1.16.1
astropy : 7.1.0
regions : 0.10
click : 8.2.1
yaml : 6.0.2
IPython : 9.4.0
jupyterlab : not installed
matplotlib : 3.9.4
pandas : not installed
healpy : 1.18.1
iminuit : 2.31.1
sherpa : 4.17.1
naima : 0.10.2
emcee : 3.1.6
corner : 2.2.3
ray : 2.48.0
Gammapy environment variables:
GAMMAPY_DATA : /home/runner/work/gammapy-docs/gammapy-docs/gammapy-datasets/2.0
Defining the datastore and selecting observations#
We first use the DataStore
object to access the
observations we want to analyse. Here the H.E.S.S. DL3 DR1.
data_store = DataStore.from_dir("$GAMMAPY_DATA/hess-dl3-dr1")
We can now define an observation filter to select only the relevant observations. Here we use a cone search which we define with a python dict.
We then filter the ObservationTable
with
select_observations
.
selection = dict(
type="sky_circle",
frame="icrs",
lon="83.633 deg",
lat="22.014 deg",
radius="5 deg",
)
selected_obs_table = data_store.obs_table.select_observations(selection)
We can now retrieve the relevant observations by passing their
obs_id
to the get_observations
method.
observations = data_store.get_observations(selected_obs_table["OBS_ID"])
Preparing reduced datasets geometry#
Now we define a reference geometry for our analysis, We choose a WCS based geometry with a binsize of 0.02 deg and also define an energy axis:
energy_axis = MapAxis.from_energy_bounds(1.0, 10.0, 4, unit="TeV")
geom = WcsGeom.create(
skydir=(83.633, 22.014),
binsz=0.02,
width=(2, 2),
frame="icrs",
proj="CAR",
axes=[energy_axis],
)
# Reduced IRFs are defined in true energy (i.e. not measured energy).
energy_axis_true = MapAxis.from_energy_bounds(
0.5, 20, 10, unit="TeV", name="energy_true"
)
Now we can define the target dataset with this geometry.
stacked = MapDataset.create(
geom=geom, energy_axis_true=energy_axis_true, name="crab-stacked"
)
Data reduction#
Create the maker classes to be used#
The MapDatasetMaker
object is initialized as well as
the SafeMaskMaker
that carries here a maximum offset
selection. The FoVBackgroundMaker
utilised here has the
default spectral_model
but it is possible to set your own. For further
details see the FoV background.
offset_max = 2.5 * u.deg
maker = MapDatasetMaker()
maker_safe_mask = SafeMaskMaker(
methods=["offset-max", "aeff-max"], offset_max=offset_max
)
circle = CircleSkyRegion(center=SkyCoord("83.63 deg", "22.14 deg"), radius=0.2 * u.deg)
exclusion_mask = ~geom.region_mask(regions=[circle])
maker_fov = FoVBackgroundMaker(method="fit", exclusion_mask=exclusion_mask)
Perform the data reduction loop#
for obs in observations:
# First a cutout of the target map is produced
cutout = stacked.cutout(
obs.get_pointing_icrs(obs.tmid), width=2 * offset_max, name=f"obs-{obs.obs_id}"
)
# A MapDataset is filled in this cutout geometry
dataset = maker.run(cutout, obs)
# The data quality cut is applied
dataset = maker_safe_mask.run(dataset, obs)
# fit background model
dataset = maker_fov.run(dataset)
print(
f"Background norm obs {obs.obs_id}: {dataset.background_model.spectral_model.norm.value:.2f}"
)
# The resulting dataset cutout is stacked onto the final one
stacked.stack(dataset)
print(stacked)
Background norm obs 23523: 0.99
Background norm obs 23526: 1.08
Background norm obs 23559: 0.99
Background norm obs 23592: 1.10
MapDataset
----------
Name : crab-stacked
Total counts : 2479
Total background counts : 2112.97
Total excess counts : 366.03
Predicted counts : 2112.97
Predicted background counts : 2112.97
Predicted excess counts : nan
Exposure min : 3.75e+08 m2 s
Exposure max : 3.48e+09 m2 s
Number of total bins : 40000
Number of fit bins : 40000
Fit statistic type : cash
Fit statistic value (-2 log(L)) : nan
Number of models : 0
Number of parameters : 0
Number of free parameters : 0
Inspect the reduced dataset#
stacked.counts.sum_over_axes().smooth(0.05 * u.deg).plot(stretch="sqrt", add_cbar=True)
plt.show()

Save dataset to disk#
It is common to run the preparation step independent of the likelihood fit, because often the preparation of maps, PSF and energy dispersion is slow if you have a lot of data. We first create a folder:
path = Path("analysis_2")
path.mkdir(exist_ok=True)
And then write the maps and IRFs to disk by calling the dedicated
write
method:
filename = path / "crab-stacked-dataset.fits.gz"
stacked.write(filename, overwrite=True)
Define the model#
We first define the model, a SkyModel
, as the combination of a point
source SpatialModel
with a powerlaw SpectralModel
:
target_position = SkyCoord(ra=83.63308, dec=22.01450, unit="deg")
spatial_model = PointSpatialModel(
lon_0=target_position.ra, lat_0=target_position.dec, frame="icrs"
)
spectral_model = PowerLawSpectralModel(
index=2.702,
amplitude=4.712e-11 * u.Unit("1 / (cm2 s TeV)"),
reference=1 * u.TeV,
)
sky_model = SkyModel(
spatial_model=spatial_model, spectral_model=spectral_model, name="crab"
)
bkg_model = FoVBackgroundModel(dataset_name="crab-stacked")
Now we assign this model to our reduced dataset:
Fit the model#
The Fit
class is orchestrating the fit, connecting
the stats
method of the dataset to the minimizer. By default, it
uses iminuit
.
Its constructor takes a list of dataset as argument.
The FitResult
contains information about the optimization and
parameter error calculation.
print(result)
OptimizeResult
backend : minuit
method : migrad
success : True
message : Optimization terminated successfully.
nfev : 131
total stat : 16240.82
CovarianceResult
backend : minuit
method : hesse
success : True
message : Hesse terminated successfully.
The fitted parameters are visible from the
Models
object.
print(stacked.models.to_parameters_table())
model type name value ... max frozen link prior
---------------- ---- --------- ---------- ... --------- ------ ---- -----
crab index 2.6024e+00 ... nan False
crab amplitude 4.5921e-11 ... nan False
crab reference 1.0000e+00 ... nan True
crab lon_0 8.3619e+01 ... nan False
crab lat_0 2.2024e+01 ... 9.000e+01 False
crab-stacked-bkg tilt 0.0000e+00 ... nan True
crab-stacked-bkg norm 9.3513e-01 ... nan False
crab-stacked-bkg reference 1.0000e+00 ... nan True
Here we can plot the number of predicted counts for each model and
for the background in our dataset. In order to do this, we can use
the plot_npred_signal
function.

Inspecting residuals#
For any fit it is useful to inspect the residual images. We have a few
options on the dataset object to handle this. First we can use
plot_residuals_spatial
to plot a residual image, summed over all
energies:
stacked.plot_residuals_spatial(method="diff/sqrt(model)", vmin=-0.5, vmax=0.5)
plt.show()

In addition, we can also specify a region in the map to show the spectral residuals:
region = CircleSkyRegion(center=SkyCoord("83.63 deg", "22.14 deg"), radius=0.5 * u.deg)
stacked.plot_residuals(
kwargs_spatial=dict(method="diff/sqrt(model)", vmin=-0.5, vmax=0.5),
kwargs_spectral=dict(region=region),
)
plt.show()

We can also directly access the .residuals()
to get a map, that we
can plot interactively:
residuals = stacked.residuals(method="diff")
residuals.smooth("0.08 deg").plot_interactive(
cmap="coolwarm", vmin=-0.2, vmax=0.2, stretch="linear", add_cbar=True
)
plt.show()

interactive(children=(SelectionSlider(continuous_update=False, description='Select energy:', layout=Layout(width='50%'), options=('1.00 TeV - 1.78 TeV', '1.78 TeV - 3.16 TeV', '3.16 TeV - 5.62 TeV', '5.62 TeV - 10.0 TeV'), style=SliderStyle(description_width='initial'), value='1.00 TeV - 1.78 TeV'), RadioButtons(description='Select stretch:', options=('linear', 'sqrt', 'log'), style=DescriptionStyle(description_width='initial'), value='linear'), Output()), _dom_classes=('widget-interact',))
Plot the fitted spectrum#
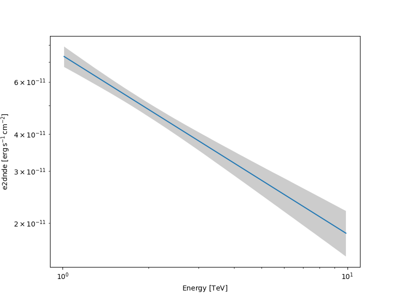
Making a butterfly plot#
The SpectralModel
component can be used to produce a, so-called,
butterfly plot showing the envelope of the model taking into account
parameter uncertainties:
Now we can actually do the plot using the plot_error
method:
energy_bounds = [1, 10] * u.TeV
fig, ax = plt.subplots(figsize=(8, 6))
spec.plot(ax=ax, energy_bounds=energy_bounds, sed_type="e2dnde")
spec.plot_error(ax=ax, energy_bounds=energy_bounds, sed_type="e2dnde")
plt.show()

Computing flux points#
We can now compute some flux points using the
FluxPointsEstimator
.
Besides the list of datasets to use, we must provide it the energy intervals on which to compute flux points as well as the model component name.
energy_edges = [1, 2, 4, 10] * u.TeV
fpe = FluxPointsEstimator(energy_edges=energy_edges, source="crab")
flux_points = fpe.run(datasets=[stacked])
fig, ax = plt.subplots(figsize=(8, 6))
spec.plot(ax=ax, energy_bounds=energy_bounds, sed_type="e2dnde")
spec.plot_error(ax=ax, energy_bounds=energy_bounds, sed_type="e2dnde")
flux_points.plot(ax=ax, sed_type="e2dnde")
plt.show()
