Tutorials#

Important

  • It is strongly advised to first read Fundamental Concepts: Gammapy analysis workflow and package structure of the User Guide before using the tutorials.

  • In general, all methods and classes are defined with default values that permit a good execution per default. In the tutorials, we frequently use extra values to just illustrate their usage.

  • The Gammapy library is used by many instruments and as consequence can not describe the specificities of each data release of each observatory. Get in touch with the observatory experts to get the best usage of a given data release.

This page lists the Gammapy tutorials that are available as Jupyter notebooks. You can read them here, or execute them using a temporary cloud server in Binder.

To execute them locally, you have to first install Gammapy locally (see Installation) and download the tutorial notebooks and example datasets (see Getting started). Once Gammapy is installed, remember that you can always use gammapy tutorial setup to check your tutorial setup, or in your script with

from gammapy.utils.check import check_tutorials_setup
check_tutorials_setup()

Gammapy is a Python package built on Numpy and Astropy, so to use it effectively, you have to learn the basics. Many good free resources are available, e.g. A Whirlwind tour of Python, the Python data science handbook and the Astropy Hands-On Tutorial.

Introduction#

The following three tutorials show different ways of how to use Gammapy to perform a complete data analysis, from data selection to data reduction and finally modeling and fitting.

The first tutorial is an overview on how to perform a standard analysis workflow using the high level interface in a configuration-driven approach, whilst the second deals with the same use-case using the low level API and showing what is happening under-the-hood. The third tutorial shows a glimpse of how to handle different basic data structures like event lists, source catalogs, sky maps, spectral models and flux points tables.

Data structures

Data structures

High level interface

High level interface

Low level API

Low level API

Data exploration#

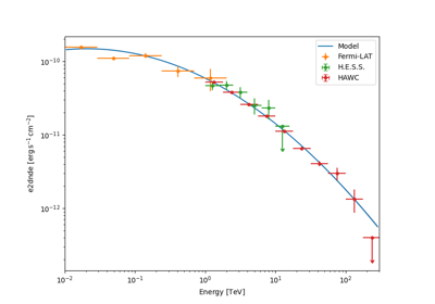
These tutorials show how to perform data exploration with Gammapy, providing an introduction to H.E.S.S., MAGIC, VERITAS, CTAO, HAWC and Fermi-LAT data and their instrument response functions (IRFs). You will learn to explore and filter event lists according to different criteria, view multidimensional IRF files and perform instrument-specific analysis.

H.E.S.S. with Gammapy

H.E.S.S. with Gammapy

CTAO with Gammapy

CTAO with Gammapy

MAGIC with Gammapy

MAGIC with Gammapy

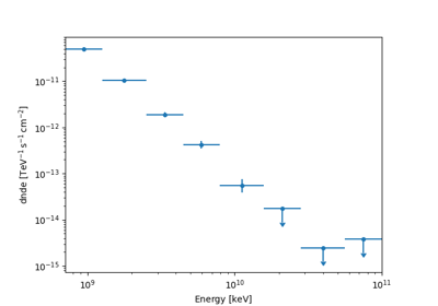
Fermi-LAT with Gammapy

Fermi-LAT with Gammapy

HAWC with Gammapy

HAWC with Gammapy

VERITAS with Gammapy

VERITAS with Gammapy

Detailed explanation#

The following tutorials demonstrate different how to use Gammapy tools across the full analysis chain, from data loading to model comparison.

Using Gammapy IRFs

Using Gammapy IRFs

Observational clustering

Observational clustering

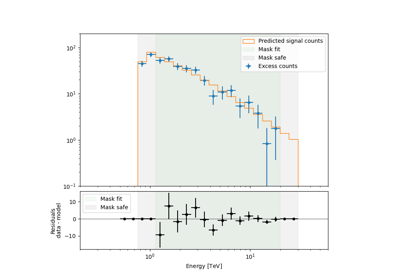
Make a theta-square plot

Make a theta-square plot

Makers - Data reduction

Makers - Data reduction

Datasets - Reduced data, IRFs, models

Datasets - Reduced data, IRFs, models

Maps

Maps

Mask maps

Mask maps

Source catalogs

Source catalogs

Models

Models

Priors

Priors

Modelling

Modelling

Fitting

Fitting

Bayesian analysis with nested sampling

Bayesian analysis with nested sampling

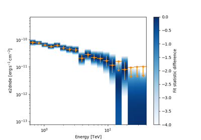
Estimators

Estimators

Constraining parameter limits

Constraining parameter limits

Data analysis#

The following set of tutorials are devoted to data analysis, and grouped according to the specific covered use cases in spectral analysis and flux fitting, image and cube analysis modelling and fitting, as well as time-dependent analysis with light-curves.

1D Spectral#

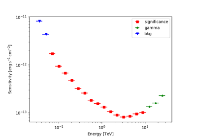
Point source sensitivity

Point source sensitivity

Spectral analysis

Spectral analysis

Spectral analysis with the HLI

Spectral analysis with the HLI

Spectral analysis of extended sources

Spectral analysis of extended sources

1D spectrum simulation

1D spectrum simulation

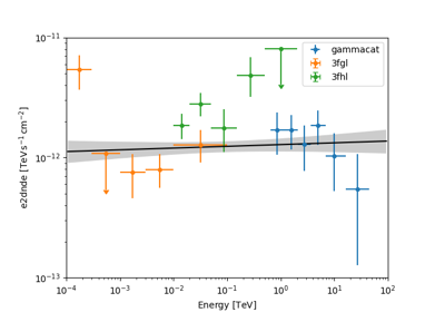
Flux point fitting

Flux point fitting

2D Image#

Source detection and significance maps

Source detection and significance maps

Ring background map

Ring background map

2D map fitting

2D map fitting

3D Cube#

3D detailed analysis

3D detailed analysis

Basic image exploration and fitting

Basic image exploration and fitting

Multi instrument joint 3D and 1D analysis

Multi instrument joint 3D and 1D analysis

3D map simulation

3D map simulation

Event sampling

Event sampling

Sample a source with energy-dependent temporal evolution

Sample a source with energy-dependent temporal evolution

Flux Profile Estimation

Flux Profile Estimation

Computing flux upper limits

Computing flux upper limits

Time series#

Light curves

Light curves

Light curves for flares

Light curves for flares

Estimation of time variability in a lightcurve

Estimation of time variability in a lightcurve

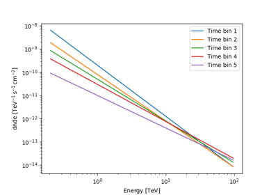
Time resolved spectroscopy estimator

Time resolved spectroscopy estimator

Simulating and fitting a time varying source

Simulating and fitting a time varying source

Astrophysics use cases#

This section outlines some source specific use cases.

Account for spectral absorption due to the EBL

Account for spectral absorption due to the EBL

Morphological energy dependence estimation

Morphological energy dependence estimation

Pulsar analysis

Pulsar analysis

Dark matter spatial and spectral models

Dark matter spatial and spectral models

Scripts#

For interactive use, IPython and Jupyter are great, and most Gammapy examples use those. However, for long-running, non-interactive tasks like data reduction or survey maps, you might prefer a Python script.

The following example shows how to run Gammapy within a Python script.

Survey Map Script

Survey Map Script

Gallery generated by Sphinx-Gallery