Note
Go to the end to download the full example code or to run this example in your browser via Binder.
Basic image exploration and fitting#
Detect sources, produce a sky image and a spectrum using CTA-1DC data.
Introduction#
This notebook shows an example how to make a sky image and spectrum for simulated CTAO data with Gammapy.
The dataset we will use is three observation runs on the Galactic Center. This is a tiny (and thus quick to process and play with and learn) subset of the simulated CTAO dataset that was produced for the first data challenge in August 2017.
Setup#
As usual, we’ll start with some setup …
# Configure the logger, so that the spectral analysis
# isn't so chatty about what it's doing.
import logging
import astropy.units as u
from astropy.coordinates import SkyCoord
from regions import CircleSkyRegion
import matplotlib.pyplot as plt
from IPython.display import display
from gammapy.data import DataStore
from gammapy.datasets import Datasets, FluxPointsDataset, MapDataset, SpectrumDataset
from gammapy.estimators import FluxPointsEstimator, TSMapEstimator
from gammapy.estimators.utils import find_peaks
from gammapy.makers import (
MapDatasetMaker,
ReflectedRegionsBackgroundMaker,
SafeMaskMaker,
SpectrumDatasetMaker,
)
from gammapy.maps import MapAxis, RegionGeom, WcsGeom
from gammapy.modeling import Fit
from gammapy.modeling.models import (
GaussianSpatialModel,
PowerLawSpectralModel,
SkyModel,
)
from gammapy.visualization import plot_npred_signal, plot_spectrum_datasets_off_regions
logging.basicConfig()
log = logging.getLogger("gammapy.spectrum")
log.setLevel(logging.ERROR)
Select observations#
A Gammapy analysis usually starts by creating a
DataStore and selecting observations.
This is shown in detail in other notebooks (see e.g. the Low level API tutorial), here we choose three observations near the Galactic Center.
data_store = DataStore.from_dir("$GAMMAPY_DATA/cta-1dc/index/gps")
# Just as a reminder: this is how to select observations
# from astropy.coordinates import SkyCoord
# table = data_store.obs_table
# pos_obs = SkyCoord(table['GLON_PNT'], table['GLAT_PNT'], frame='galactic', unit='deg')
# pos_target = SkyCoord(0, 0, frame='galactic', unit='deg')
# offset = pos_target.separation(pos_obs).deg
# mask = (1 < offset) & (offset < 2)
# table = table[mask]
# table.show_in_browser(jsviewer=True)
obs_id = [110380, 111140, 111159]
observations = data_store.get_observations(obs_id)
obs_cols = ["OBS_ID", "GLON_PNT", "GLAT_PNT", "LIVETIME"]
display(data_store.obs_table.select_obs_id(obs_id)[obs_cols])
OBS_ID GLON_PNT GLAT_PNT LIVETIME
deg deg s
------ ------------------ ------------------ --------
110380 359.9999912037958 -1.299995937905366 1764.0
111140 358.4999833830074 1.3000020211954284 1764.0
111159 1.5000056568267741 1.299940468335294 1764.0
Make sky images#
Define map geometry#
Select the target position and define an ON region for the spectral analysis
axis = MapAxis.from_energy_bounds(
0.1,
10,
nbin=10,
unit="TeV",
name="energy",
)
axis_true = MapAxis.from_energy_bounds(
0.05,
20,
nbin=20,
name="energy_true",
unit="TeV",
)
geom = WcsGeom.create(
skydir=(0, 0), npix=(500, 400), binsz=0.02, frame="galactic", axes=[axis]
)
print(geom)
WcsGeom
axes : ['lon', 'lat', 'energy']
shape : (np.int64(500), np.int64(400), 10)
ndim : 3
frame : galactic
projection : CAR
center : 0.0 deg, 0.0 deg
width : 10.0 deg x 8.0 deg
wcs ref : 0.0 deg, 0.0 deg
Compute images#
stacked = MapDataset.create(geom=geom, energy_axis_true=axis_true)
maker = MapDatasetMaker(selection=["counts", "background", "exposure", "psf"])
maker_safe_mask = SafeMaskMaker(methods=["offset-max"], offset_max=2.5 * u.deg)
for obs in observations:
cutout = stacked.cutout(obs.get_pointing_icrs(obs.tmid), width="5 deg")
dataset = maker.run(cutout, obs)
dataset = maker_safe_mask.run(dataset, obs)
stacked.stack(dataset)
/home/runner/work/gammapy-docs/gammapy-docs/gammapy/.tox/build_docs/lib/python3.11/site-packages/astropy/units/core.py:2102: UnitsWarning: '1/s/MeV/sr' did not parse as fits unit: Numeric factor not supported by FITS If this is meant to be a custom unit, define it with 'u.def_unit'. To have it recognized inside a file reader or other code, enable it with 'u.add_enabled_units'. For details, see https://docs.astropy.org/en/latest/units/combining_and_defining.html
warnings.warn(msg, UnitsWarning)
/home/runner/work/gammapy-docs/gammapy-docs/gammapy/.tox/build_docs/lib/python3.11/site-packages/astropy/units/core.py:2102: UnitsWarning: '1/s/MeV/sr' did not parse as fits unit: Numeric factor not supported by FITS If this is meant to be a custom unit, define it with 'u.def_unit'. To have it recognized inside a file reader or other code, enable it with 'u.add_enabled_units'. For details, see https://docs.astropy.org/en/latest/units/combining_and_defining.html
warnings.warn(msg, UnitsWarning)
/home/runner/work/gammapy-docs/gammapy-docs/gammapy/.tox/build_docs/lib/python3.11/site-packages/astropy/units/core.py:2102: UnitsWarning: '1/s/MeV/sr' did not parse as fits unit: Numeric factor not supported by FITS If this is meant to be a custom unit, define it with 'u.def_unit'. To have it recognized inside a file reader or other code, enable it with 'u.add_enabled_units'. For details, see https://docs.astropy.org/en/latest/units/combining_and_defining.html
warnings.warn(msg, UnitsWarning)
The maps are cubes, with an energy axis. Let’s also make some images:
dataset_image = stacked.to_image()
geom_image = dataset_image.geoms["geom"]
Show images#
Let’s have a quick look at the images we computed …
fig, (ax1, ax2, ax3) = plt.subplots(
figsize=(15, 5),
ncols=3,
subplot_kw={"projection": geom_image.wcs},
gridspec_kw={"left": 0.1, "right": 0.9},
)
ax1.set_title("Counts map")
dataset_image.counts.smooth(2).plot(ax=ax1, vmax=5)
ax2.set_title("Background map")
dataset_image.background.plot(ax=ax2, vmax=5)
ax3.set_title("Excess map")
dataset_image.excess.smooth(3).plot(ax=ax3, vmax=2)
plt.show()

Source Detection#
Use the class TSMapEstimator and function
find_peaks to detect sources on the images.
We search for 0.1 deg sigma gaussian sources in the dataset.
spatial_model = GaussianSpatialModel(sigma="0.05 deg")
spectral_model = PowerLawSpectralModel(index=2)
model = SkyModel(spatial_model=spatial_model, spectral_model=spectral_model)
ts_image_estimator = TSMapEstimator(
model,
kernel_width="0.5 deg",
selection_optional=[],
downsampling_factor=2,
sum_over_energy_groups=False,
energy_edges=[0.1, 10] * u.TeV,
)
images_ts = ts_image_estimator.run(stacked)
sources = find_peaks(
images_ts["sqrt_ts"],
threshold=5,
min_distance="0.2 deg",
)
display(sources)
value x y ra dec
deg deg
------ --- --- --------- ---------
36.125 252 197 266.42400 -29.00490
17.968 207 202 266.85900 -28.18386
13.13 186 199 267.16303 -27.85527
9.8672 373 205 264.79470 -30.97749
8.3583 298 169 266.42267 -30.08192
8.2689 308 187 265.94723 -30.06430
6.3229 90 209 268.07455 -26.10409
5.1489 87 226 267.78333 -25.87897
5.0163 239 167 267.16511 -29.09348
To get the position of the sources, simply
source_pos = SkyCoord(sources["ra"], sources["dec"])
print(source_pos)
<SkyCoord (ICRS): (ra, dec) in deg
[(266.42399798, -29.00490483), (266.85900392, -28.18385658),
(267.16303044, -27.85527359), (264.79469899, -30.97749371),
(266.4226731 , -30.08192101), (265.94722599, -30.0643032 ),
(268.07454639, -26.10409446), (267.78332719, -25.87897418),
(267.16511148, -29.093477 )]>
Plot sources on top of significance sky image
fig, ax = plt.subplots(figsize=(8, 6), subplot_kw={"projection": geom_image.wcs})
images_ts["sqrt_ts"].plot(ax=ax, add_cbar=True)
ax.scatter(
source_pos.ra.deg,
source_pos.dec.deg,
transform=ax.get_transform("icrs"),
color="none",
edgecolor="white",
marker="o",
s=200,
lw=1.5,
)
plt.show()

Spatial analysis#
See other notebooks for how to run a 3D cube or 2D image based analysis.
Spectrum#
We’ll run a spectral analysis using the classical reflected regions background estimation method, and using the on-off (often called WSTAT) likelihood function.
target_position = SkyCoord(0, 0, unit="deg", frame="galactic")
on_radius = 0.2 * u.deg
on_region = CircleSkyRegion(center=target_position, radius=on_radius)
exclusion_mask = ~geom.to_image().region_mask([on_region])
exclusion_mask.plot()
plt.show()

Configure spectral analysis
energy_axis = MapAxis.from_energy_bounds(0.1, 40, 40, unit="TeV", name="energy")
energy_axis_true = MapAxis.from_energy_bounds(
0.05, 100, 200, unit="TeV", name="energy_true"
)
geom = RegionGeom.create(region=on_region, axes=[energy_axis])
dataset_empty = SpectrumDataset.create(geom=geom, energy_axis_true=energy_axis_true)
dataset_maker = SpectrumDatasetMaker(
containment_correction=False, selection=["counts", "exposure", "edisp"]
)
bkg_maker = ReflectedRegionsBackgroundMaker(exclusion_mask=exclusion_mask)
safe_mask_masker = SafeMaskMaker(methods=["aeff-max"], aeff_percent=10)
Run data reduction
datasets = Datasets()
for observation in observations:
dataset = dataset_maker.run(
dataset_empty.copy(name=f"obs-{observation.obs_id}"), observation
)
dataset_on_off = bkg_maker.run(dataset, observation)
dataset_on_off = safe_mask_masker.run(dataset_on_off, observation)
datasets.append(dataset_on_off)
Plot results
plt.figure(figsize=(8, 6))
ax = dataset_image.counts.smooth("0.03 deg").plot(vmax=8)
on_region.to_pixel(ax.wcs).plot(ax=ax, edgecolor="white")
plot_spectrum_datasets_off_regions(datasets, ax=ax)
plt.show()

/home/runner/work/gammapy-docs/gammapy-docs/gammapy/.tox/build_docs/lib/python3.11/site-packages/regions/shapes/circle.py:160: UserWarning: Setting the 'color' property will override the edgecolor or facecolor properties.
return Circle(xy=xy, radius=radius, **mpl_kwargs)
/home/runner/work/gammapy-docs/gammapy-docs/gammapy/.tox/build_docs/lib/python3.11/site-packages/gammapy/visualization/datasets.py:84: UserWarning: Setting the 'color' property will override the edgecolor or facecolor properties.
handle = Patch(**plot_kwargs)
Model fit#
The next step is to fit a spectral model, using all data (i.e. a “global” fit, using all energies).
spectral_model = PowerLawSpectralModel(
index=2, amplitude=1e-11 * u.Unit("cm-2 s-1 TeV-1"), reference=1 * u.TeV
)
model = SkyModel(spectral_model=spectral_model, name="source-gc")
datasets.models = model
fit = Fit()
result = fit.run(datasets=datasets)
print(result)
OptimizeResult
backend : minuit
method : migrad
success : True
message : Optimization terminated successfully.
nfev : 104
total stat : 88.36
CovarianceResult
backend : minuit
method : hesse
success : True
message : Hesse terminated successfully.
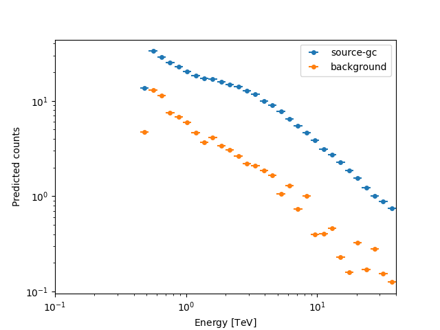
Here we can plot the predicted number of counts for each model and for the background in the dataset. This is especially useful when studying complex field with a lot a sources. There is a function in the visualization sub-package of gammapy that does this automatically.
First we need to stack our datasets.
stacked_dataset = datasets.stack_reduce(name="stacked")
stacked_dataset.models = model
print(stacked_dataset)
SpectrumDatasetOnOff
--------------------
Name : stacked
Total counts : 413
Total background counts : 85.43
Total excess counts : 327.57
Predicted counts : 413.95
Predicted background counts : 85.42
Predicted excess counts : 328.53
Exposure min : 9.94e+07 m2 s
Exposure max : 2.46e+10 m2 s
Number of total bins : 40
Number of fit bins : 30
Fit statistic type : wstat
Fit statistic value (-2 log(L)) : 34.70
Number of models : 1
Number of parameters : 3
Number of free parameters : 2
Component 0: SkyModel
Name : source-gc
Datasets names : None
Spectral model type : PowerLawSpectralModel
Spatial model type :
Temporal model type :
Parameters:
index : 2.403 +/- 0.06
amplitude : 3.28e-12 +/- 2.3e-13 1 / (TeV s cm2)
reference (frozen): 1.000 TeV
Total counts_off : 2095
Acceptance : 88
Acceptance off : 2197
Call plot_npred_signal to plot the predicted counts.

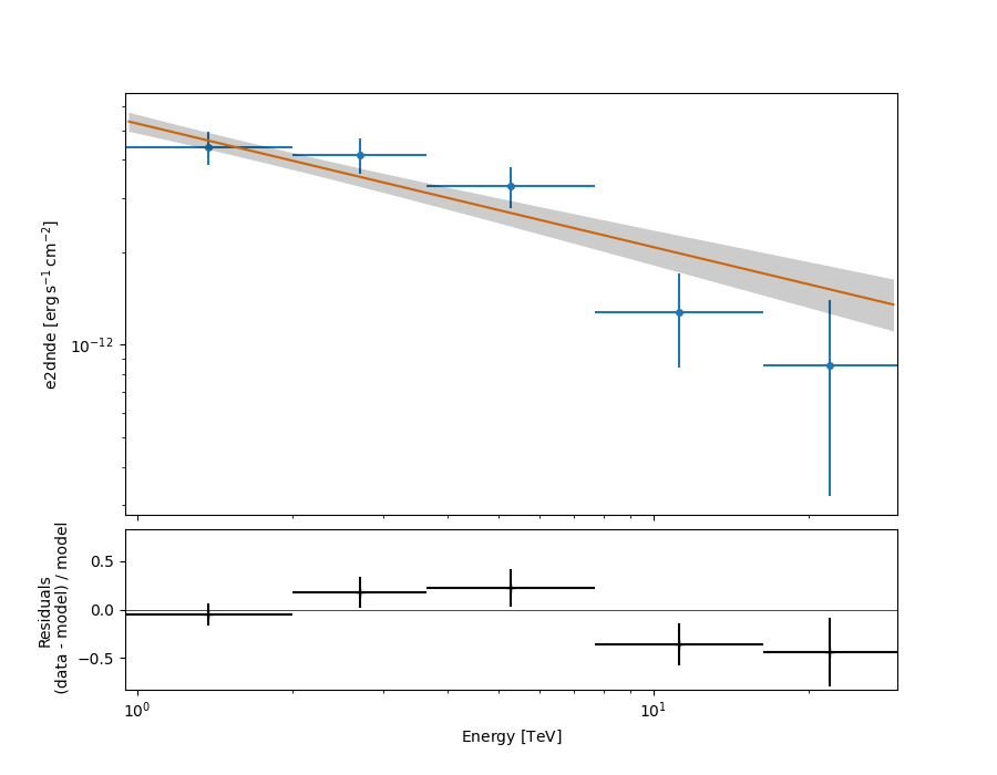
Spectral points#
Finally, let’s compute spectral points. The method used is to first choose an energy binning, and then to do a 1-dim likelihood fit / profile to compute the flux and flux error.
# Flux points are computed on stacked datasets
energy_edges = MapAxis.from_energy_bounds("1 TeV", "30 TeV", nbin=5).edges
fpe = FluxPointsEstimator(energy_edges=energy_edges, source="source-gc")
flux_points = fpe.run(datasets=[stacked_dataset])
flux_points.to_table(sed_type="dnde", formatted=True)
Plot#
Let’s plot the spectral model and points. You could do it directly, but
for convenience we bundle the model and the flux points in a
FluxPointsDataset:
flux_points_dataset = FluxPointsDataset(data=flux_points, models=model)
flux_points_dataset.plot_fit()
plt.show()

Exercises#
Re-run the analysis above, varying some analysis parameters, e.g.
Select a few other observations
Change the energy band for the map
Change the spectral model for the fit
Change the energy binning for the spectral points
Change the target. Make a sky image and spectrum for your favourite source.
If you don’t know any, the Crab nebula is the “hello world!” analysis of gamma-ray astronomy.
# print('hello world')
# SkyCoord.from_name('crab')
What next?#
This notebook showed an example of a first CTAO analysis with Gammapy, using simulated 1DC data.
Let us know if you have any questions or issues!
Total running time of the script: (0 minutes 15.223 seconds)