Note
Go to the end to download the full example code or to run this example in your browser via Binder.
Spectral analysis#
Perform a full region based on-off spectral analysis and fit the resulting datasets.
Prerequisites#
Understanding how spectral extraction is performed in Cherenkov astronomy, in particular regarding OFF background measurements.
Understanding the basics data reduction and modeling/fitting process with the gammapy library API as shown in the Low level API tutorial.
Context#
While 3D analyses allow in principle to consider complex field of views containing overlapping gamma-ray sources, in many cases we might have an observation with a single, strong, point-like source in the field of view. A spectral analysis, in that case, might consider all the events inside a source (or ON) region and bin them in energy only, obtaining 1D datasets.
In classical Cherenkov astronomy, the background estimation technique associated with this method measures the number of events in OFF regions taken in regions of the field-of-view devoid of gamma-ray emitters, where the background rate is assumed to be equal to the one in the ON region.
This allows to use a specific fit statistics for ON-OFF measurements,
the wstat (see wstat), where no background model is
assumed. Background is treated as a set of nuisance parameters. This
removes some systematic effects connected to the choice or the quality
of the background model. But this comes at the expense of larger
statistical uncertainties on the fitted model parameters.
Objective: perform a full region based spectral analysis of 4 Crab observations of H.E.S.S. data release 1 and fit the resulting datasets.
Introduction#
Here, as usual, we use the DataStore to retrieve a
list of selected observations (Observations). Then, we
define the ON region containing the source and the geometry of the
SpectrumDataset object we want to produce. We then
create the corresponding dataset Maker.
We have to define the Maker object that will extract the OFF counts from reflected regions in the field-of-view. To ensure we use data in an energy range where the quality of the IRFs is good enough we also create a safe range Maker.
We can then proceed with data reduction with a loop over all selected observations to produce datasets in the relevant geometry.
We can then explore the resulting datasets and look at the cumulative signal and significance of our source. We finally proceed with model fitting.
In practice, we have to:
Create a
DataStorepointing to the relevant dataApply an observation selection to produce a list of observations, a
Observationsobject.Define a geometry of the spectrum we want to produce:
Create a
CircleSkyRegionfor the ON extraction regionCreate a
MapAxisfor the energy binnings: one for the reconstructed (i.e.measured) energy, the other for the true energy (i.e.the one used by IRFs and models)
Create the necessary makers :
the spectrum dataset maker :
SpectrumDatasetMakerthe OFF background maker, here a
ReflectedRegionsBackgroundMakerand the safe range maker :
SafeMaskMaker
Perform the data reduction loop. And for every observation:
Apply the makers sequentially to produce a
SpectrumDatasetOnOffAppend it to list of datasets
Define the
SkyModelto apply to the dataset.Create a
Fitobject and run it to fit the model parametersApply a
FluxPointsEstimatorto compute flux points for the spectral part of the fit.
from pathlib import Path
import astropy.units as u
from astropy.coordinates import Angle, SkyCoord
from regions import CircleSkyRegion
# %matplotlib inline
import matplotlib.pyplot as plt
Setup#
As usual, we’ll start with some setup …
from IPython.display import display
from gammapy.data import DataStore
from gammapy.datasets import (
Datasets,
FluxPointsDataset,
SpectrumDataset,
)
from gammapy.estimators import FluxPointsEstimator
from gammapy.estimators.utils import resample_energy_edges
from gammapy.makers import (
ReflectedRegionsBackgroundMaker,
SafeMaskMaker,
SpectrumDatasetMaker,
)
from gammapy.maps import MapAxis, RegionGeom, WcsGeom
from gammapy.modeling import Fit
from gammapy.modeling.models import (
ExpCutoffPowerLawSpectralModel,
SkyModel,
create_crab_spectral_model,
)
from gammapy.visualization import plot_spectrum_datasets_off_regions
Load Data#
First, we select and load some H.E.S.S. observations of the Crab nebula.
We will access the events, effective area, energy dispersion, livetime and PSF for containment correction.
datastore = DataStore.from_dir("$GAMMAPY_DATA/hess-dl3-dr1/")
obs_ids = [23523, 23526, 23559, 23592]
observations = datastore.get_observations(obs_ids)
Define Target Region#
The next step is to define a signal extraction region, also known as on
region. In the simplest case this is just a
CircleSkyRegion.
target_position = SkyCoord(ra=83.63, dec=22.01, unit="deg", frame="icrs")
on_region_radius = Angle("0.11 deg")
on_region = CircleSkyRegion(center=target_position, radius=on_region_radius)
Create exclusion mask#
We will use the reflected regions method to place off regions to estimate the background level in the on region. To make sure the off regions don’t contain gamma-ray emission, we create an exclusion mask.
Using http://gamma-sky.net/ we find that there’s only one known gamma-ray source near the Crab nebula: the AGN called RGB J0521+212 at GLON = 183.604 deg and GLAT = -8.708 deg.
exclusion_region = CircleSkyRegion(
center=SkyCoord(183.604, -8.708, unit="deg", frame="galactic"),
radius=0.5 * u.deg,
)
skydir = target_position.galactic
geom = WcsGeom.create(
npix=(150, 150), binsz=0.05, skydir=skydir, proj="TAN", frame="icrs"
)
exclusion_mask = ~geom.region_mask([exclusion_region])
exclusion_mask.plot()
plt.show()

Run data reduction chain#
We begin with the configuration of the maker classes:
energy_axis = MapAxis.from_energy_bounds(
0.1, 40, nbin=10, per_decade=True, unit="TeV", name="energy"
)
energy_axis_true = MapAxis.from_energy_bounds(
0.05, 100, nbin=20, per_decade=True, unit="TeV", name="energy_true"
)
geom = RegionGeom.create(region=on_region, axes=[energy_axis])
dataset_empty = SpectrumDataset.create(geom=geom, energy_axis_true=energy_axis_true)
dataset_maker = SpectrumDatasetMaker(
containment_correction=True, selection=["counts", "exposure", "edisp"]
)
bkg_maker = ReflectedRegionsBackgroundMaker(exclusion_mask=exclusion_mask)
safe_mask_maker = SafeMaskMaker(methods=["aeff-max"], aeff_percent=10)
datasets = Datasets()
for obs_id, observation in zip(obs_ids, observations):
dataset = dataset_maker.run(dataset_empty.copy(name=str(obs_id)), observation)
dataset_on_off = bkg_maker.run(dataset, observation)
dataset_on_off = safe_mask_maker.run(dataset_on_off, observation)
datasets.append(dataset_on_off)
print(datasets)
Datasets
--------
Dataset 0:
Type : SpectrumDatasetOnOff
Name : 23523
Instrument : HESS
Models :
Dataset 1:
Type : SpectrumDatasetOnOff
Name : 23526
Instrument : HESS
Models :
Dataset 2:
Type : SpectrumDatasetOnOff
Name : 23559
Instrument : HESS
Models :
Dataset 3:
Type : SpectrumDatasetOnOff
Name : 23592
Instrument : HESS
Models :
The data reduction loop can also be performed through the
DatasetsMaker class that take a list of makers as input,
as described here
Plot off regions#
plt.figure()
ax = exclusion_mask.plot()
on_region.to_pixel(ax.wcs).plot(ax=ax, edgecolor="k")
plot_spectrum_datasets_off_regions(ax=ax, datasets=datasets)
plt.show()

Source statistic#
Next we’re going to look at the overall source statistics in our signal region.
info_table = datasets.info_table(cumulative=True)
display(info_table)
name counts excess ... acceptance_off alpha
...
------- ------ ----------------- ... ------------------ -------------------
stacked 149 139.25 ... 216.0 0.0833333358168602
stacked 303 280.75 ... 443.99993896484375 0.0833333432674408
stacked 439 408.7743835449219 ... 1100.523681640625 0.05088486522436142
stacked 550 512.135498046875 ... 1698.3189697265625 0.04357249662280083
And make the corresponding plots
fig, (ax_excess, ax_sqrt_ts) = plt.subplots(figsize=(10, 4), ncols=2, nrows=1)
ax_excess.plot(
info_table["livetime"].to("h"),
info_table["excess"],
marker="o",
ls="none",
)
ax_excess.set_title("Excess")
ax_excess.set_xlabel("Livetime [h]")
ax_excess.set_ylabel("Excess events")
ax_sqrt_ts.plot(
info_table["livetime"].to("h"),
info_table["sqrt_ts"],
marker="o",
ls="none",
)
ax_sqrt_ts.set_title("Sqrt(TS)")
ax_sqrt_ts.set_xlabel("Livetime [h]")
ax_sqrt_ts.set_ylabel("Sqrt(TS)")
plt.show()

Finally you can write the extracted datasets to disk using the OGIP (default) format (PHA, ARF, RMF, BKG, see here for details):
path = Path("spectrum_analysis")
path.mkdir(exist_ok=True)
datasets.write(filename=path / "spectrum_dataset.yaml", overwrite=True)
If you want to read back the datasets from disk you can use:
datasets = Datasets.read(filename=path / "spectrum_dataset.yaml")
Fit spectrum#
Now we’ll fit a global model to the spectrum. First we do a joint likelihood fit to all observations. If you want to stack the observations see below. We will also produce a debug plot in order to show how the global fit matches one of the individual observations.
spectral_model = ExpCutoffPowerLawSpectralModel(
amplitude=1e-12 * u.Unit("cm-2 s-1 TeV-1"),
index=2,
lambda_=0.1 * u.Unit("TeV-1"),
reference=1 * u.TeV,
)
model = SkyModel(spectral_model=spectral_model, name="crab")
datasets.models = [model]
fit_joint = Fit()
result_joint = fit_joint.run(datasets=datasets)
Make a copy here to compare it later
Fit quality and model residuals#
We can access the results dictionary to see if the fit converged:
print(result_joint)
OptimizeResult
backend : minuit
method : migrad
success : True
message : Optimization terminated successfully.
nfev : 244
total stat : 86.12
CovarianceResult
backend : minuit
method : hesse
success : True
message : Hesse terminated successfully.
and check the best-fit parameters
display(result_joint.models.to_parameters_table())
model type name value unit ... min max frozen link prior
----- ---- --------- ---------- -------------- ... --- --- ------ ---- -----
crab index 2.2727e+00 ... nan nan False
crab amplitude 4.7913e-11 TeV-1 s-1 cm-2 ... nan nan False
crab reference 1.0000e+00 TeV ... nan nan True
crab lambda_ 1.2097e-01 TeV-1 ... nan nan False
crab alpha 1.0000e+00 ... nan nan True
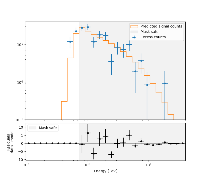
A simple way to inspect the model residuals is using the function
plot_fit()
ax_spectrum, ax_residuals = datasets[0].plot_fit()
ax_spectrum.set_ylim(0.1, 40)
plt.show()

For more ways of assessing fit quality, please refer to the dedicated Fitting tutorial.
Compute Flux Points#
To round up our analysis we can compute flux points by fitting the norm
of the global model in energy bands.
We create an instance of the
FluxPointsEstimator, by passing the dataset and
the energy binning:
fpe = FluxPointsEstimator(
energy_edges=energy_axis.edges, source="crab", selection_optional="all"
)
flux_points = fpe.run(datasets=datasets)
Here is a the table of the resulting flux points:
display(flux_points.to_table(sed_type="dnde", formatted=True))
e_ref e_min e_max dnde ... counts success norm_scan
TeV TeV TeV 1 / (TeV s cm2) ...
------ ------ ------ --------------- ... ----------- ------- --------------
0.112 0.100 0.125 nan ... 0.0 .. 0.0 False 0.200 .. 5.000
0.139 0.125 0.156 nan ... 0.0 .. 0.0 False 0.200 .. 5.000
0.174 0.156 0.195 nan ... 0.0 .. 0.0 False 0.200 .. 5.000
0.217 0.195 0.243 nan ... 0.0 .. 0.0 False 0.200 .. 5.000
0.271 0.243 0.303 nan ... 0.0 .. 0.0 False 0.200 .. 5.000
0.339 0.303 0.379 nan ... 0.0 .. 0.0 False 0.200 .. 5.000
0.423 0.379 0.473 nan ... 0.0 .. 0.0 False 0.200 .. 5.000
0.528 0.473 0.590 nan ... 0.0 .. 0.0 False 0.200 .. 5.000
0.659 0.590 0.737 1.132e-10 ... 0.0 .. 0.0 True 0.200 .. 5.000
... ... ... ... ... ... ... ...
4.859 4.348 5.429 7.435e-13 ... 10.0 .. 3.0 True 0.200 .. 5.000
6.066 5.429 6.778 3.779e-13 ... 2.0 .. 3.0 True 0.200 .. 5.000
7.573 6.778 8.462 2.240e-13 ... 4.0 .. 1.0 True 0.200 .. 5.000
9.454 8.462 10.564 1.190e-13 ... 1.0 .. 4.0 True 0.200 .. 5.000
11.803 10.564 13.189 5.214e-14 ... 0.0 .. 0.0 True 0.200 .. 5.000
14.736 13.189 16.465 7.642e-15 ... 0.0 .. 0.0 True 0.200 .. 5.000
18.397 16.465 20.556 1.494e-14 ... 1.0 .. 0.0 True 0.200 .. 5.000
22.968 20.556 25.663 -5.332e-31 ... 0.0 .. 0.0 True 0.200 .. 5.000
28.675 25.663 32.040 1.072e-23 ... 0.0 .. 0.0 True 0.200 .. 5.000
35.799 32.040 40.000 -4.119e-32 ... 0.0 .. 0.0 True 0.200 .. 5.000
Length = 27 rows
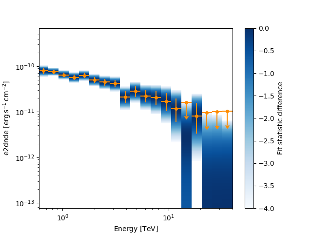
Now we plot the flux points and their likelihood profiles. For the plotting of upper limits we choose a threshold of TS < 4.
fig, ax = plt.subplots()
flux_points.plot(ax=ax, sed_type="e2dnde", color="darkorange")
flux_points.plot_ts_profiles(ax=ax, sed_type="e2dnde")
ax.set_xlim(0.6, 40)
plt.show()

Note: it is also possible to plot the flux distribution with the spectral model overlaid, but you must ensure the axis binning is identical for the flux points and integral flux.
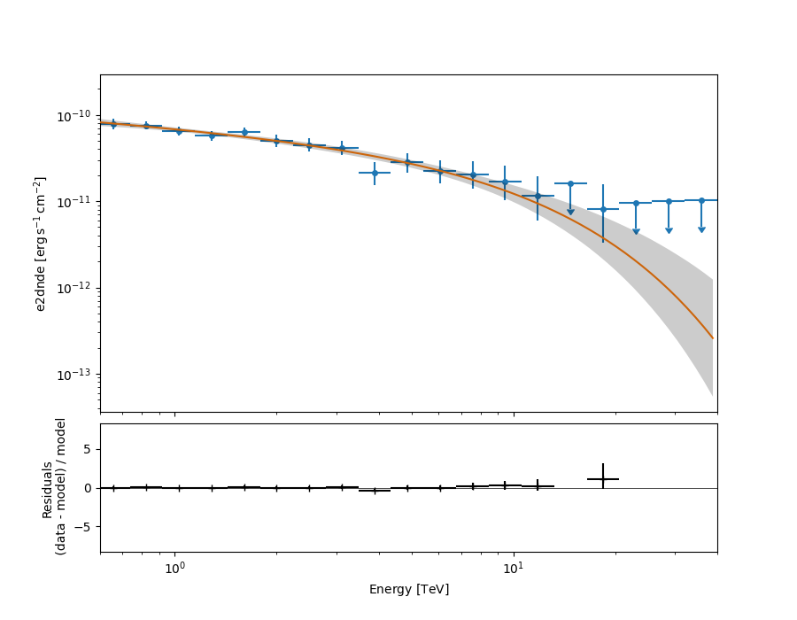
The final plot with the best fit model, flux points and residuals can be quickly made like this:
flux_points_dataset = FluxPointsDataset(
data=flux_points, models=model_best_joint.copy()
)
ax, _ = flux_points_dataset.plot_fit()
ax.set_xlim(0.6, 40)
plt.show()

/home/runner/work/gammapy-docs/gammapy-docs/gammapy/.tox/build_docs/lib/python3.11/site-packages/gammapy/modeling/models/spectral.py:650: UserWarning: This axis already has a converter set and is updating to a potentially incompatible converter
ax.plot(energy.center, flux.quantity[:, 0, 0], **kwargs)
Stack observations#
An alternative approach to fitting the spectrum is stacking all observations first and the fitting a model. For this we first stack the individual datasets:
dataset_stacked = Datasets(datasets).stack_reduce()
Again we set the model on the dataset we would like to fit (in this case
it’s only a single one) and pass it to the Fit
object:
Make a copy to compare later
model_best_stacked = model.copy()
print(result_stacked)
OptimizeResult
backend : minuit
method : migrad
success : True
message : Optimization terminated successfully.
nfev : 60
total stat : 8.20
CovarianceResult
backend : minuit
method : hesse
success : True
message : Hesse terminated successfully.
And display the parameter table for both the joint and the stacked models
display(model_best_joint.parameters.to_table())
display(model_best_stacked.parameters.to_table())
type name value unit error min max frozen link prior
---- --------- ---------- -------------- --------- --- --- ------ ---- -----
index 2.2727e+00 1.566e-01 nan nan False
amplitude 4.7913e-11 TeV-1 s-1 cm-2 3.600e-12 nan nan False
reference 1.0000e+00 TeV 0.000e+00 nan nan True
lambda_ 1.2097e-01 TeV-1 5.382e-02 nan nan False
alpha 1.0000e+00 0.000e+00 nan nan True
type name value unit error min max frozen link prior
---- --------- ---------- -------------- --------- --- --- ------ ---- -----
index 2.2964e+00 1.553e-01 nan nan False
amplitude 4.7819e-11 TeV-1 s-1 cm-2 3.538e-12 nan nan False
reference 1.0000e+00 TeV 0.000e+00 nan nan True
lambda_ 1.1393e-01 TeV-1 5.257e-02 nan nan False
alpha 1.0000e+00 0.000e+00 nan nan True
Finally, we compare the results of our stacked analysis to a previously
published Crab Nebula Spectrum for reference. This is available in
create_crab_spectral_model.
fig, ax = plt.subplots()
plot_kwargs = {
"energy_bounds": [0.1, 30] * u.TeV,
"sed_type": "e2dnde",
"ax": ax,
}
ax.yaxis.set_units(u.Unit("erg cm-2 s-1"))
# plot stacked model
model_best_stacked.spectral_model.plot(**plot_kwargs, label="Stacked analysis result")
model_best_stacked.spectral_model.plot_error(facecolor="blue", alpha=0.3, **plot_kwargs)
# plot joint model
model_best_joint.spectral_model.plot(
**plot_kwargs, label="Joint analysis result", ls="--"
)
model_best_joint.spectral_model.plot_error(facecolor="orange", alpha=0.3, **plot_kwargs)
create_crab_spectral_model("hess_ecpl").plot(
**plot_kwargs,
label="Crab reference",
)
ax.legend()
plt.show()

/home/runner/work/gammapy-docs/gammapy-docs/gammapy/.tox/build_docs/lib/python3.11/site-packages/gammapy/modeling/models/spectral.py:650: UserWarning: This axis already has a converter set and is updating to a potentially incompatible converter
ax.plot(energy.center, flux.quantity[:, 0, 0], **kwargs)
/home/runner/work/gammapy-docs/gammapy-docs/gammapy/.tox/build_docs/lib/python3.11/site-packages/gammapy/modeling/models/spectral.py:650: UserWarning: This axis already has a converter set and is updating to a potentially incompatible converter
ax.plot(energy.center, flux.quantity[:, 0, 0], **kwargs)
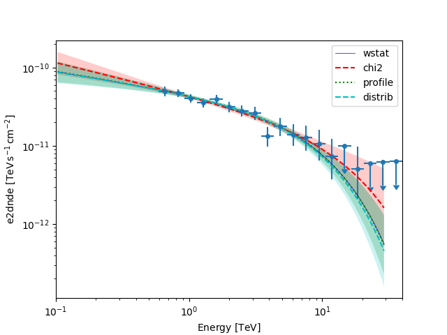
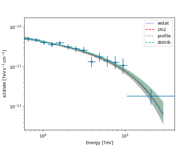
A note on statistics#
Different statistic are available for the FluxPointsDataset :
chi2 : estimate from chi2 statistics.
profile : estimate from interpolation of the likelihood profile.
distrib : estimate from probability distributions, assuming that flux points correspond to asymmetric gaussians and upper limits complementary error functions.
Default is chi2, in that case upper limits are ignored and the mean of asymmetric error is used.
So it is recommended to use profile if stat_scan is available on flux points.
The distrib case provides an approximation if the profile is not available
which allows to take into accounts upper limit and asymmetric error.
In the example below we can see that the profile case matches exactly the result
from the joint analysis of the ON/OFF datasets using wstat (as labelled).
def plot_stat(fp_dataset):
fig, ax = plt.subplots()
plot_kwargs = {
"energy_bounds": [0.1, 30] * u.TeV,
"sed_type": "e2dnde",
"ax": ax,
}
fp_dataset.data.plot(energy_power=2, ax=ax)
model_best_joint.spectral_model.plot(
color="b", lw=0.5, **plot_kwargs, label="wstat"
)
stat_types = ["chi2", "profile", "distrib"]
colors = ["red", "g", "c"]
lss = ["--", ":", "--"]
for ks, stat in enumerate(stat_types):
fp_dataset.stat_type = stat
fit = Fit()
fit.run([fp_dataset])
fp_dataset.models[0].spectral_model.plot(
color=colors[ks], ls=lss[ks], **plot_kwargs, label=stat
)
fp_dataset.models[0].spectral_model.plot_error(
facecolor=colors[ks], **plot_kwargs
)
plt.legend()
plot_stat(flux_points_dataset)

/home/runner/work/gammapy-docs/gammapy-docs/gammapy/.tox/build_docs/lib/python3.11/site-packages/gammapy/modeling/models/spectral.py:650: UserWarning: This axis already has a converter set and is updating to a potentially incompatible converter
ax.plot(energy.center, flux.quantity[:, 0, 0], **kwargs)
/home/runner/work/gammapy-docs/gammapy-docs/gammapy/.tox/build_docs/lib/python3.11/site-packages/gammapy/modeling/models/spectral.py:650: UserWarning: This axis already has a converter set and is updating to a potentially incompatible converter
ax.plot(energy.center, flux.quantity[:, 0, 0], **kwargs)
/home/runner/work/gammapy-docs/gammapy-docs/gammapy/.tox/build_docs/lib/python3.11/site-packages/gammapy/modeling/models/spectral.py:650: UserWarning: This axis already has a converter set and is updating to a potentially incompatible converter
ax.plot(energy.center, flux.quantity[:, 0, 0], **kwargs)
In order to avoid discrepancies due to the treatment of upper limits
we can utilise the resample_energy_edges
for defining energy bins in which the minimum number of sqrt_ts is 2.
In that case all the statistics definitions give equivalent results.
energy_edges = resample_energy_edges(dataset_stacked, conditions={"sqrt_ts_min": 2})
fpe_no_ul = FluxPointsEstimator(
energy_edges=energy_edges, source="crab", selection_optional="all"
)
flux_points_no_ul = fpe_no_ul.run(datasets=datasets)
flux_points_dataset_no_ul = FluxPointsDataset(
data=flux_points_no_ul,
models=model_best_joint.copy(),
)
plot_stat(flux_points_dataset_no_ul)

/home/runner/work/gammapy-docs/gammapy-docs/gammapy/.tox/build_docs/lib/python3.11/site-packages/gammapy/modeling/models/spectral.py:650: UserWarning: This axis already has a converter set and is updating to a potentially incompatible converter
ax.plot(energy.center, flux.quantity[:, 0, 0], **kwargs)
/home/runner/work/gammapy-docs/gammapy-docs/gammapy/.tox/build_docs/lib/python3.11/site-packages/gammapy/modeling/models/spectral.py:650: UserWarning: This axis already has a converter set and is updating to a potentially incompatible converter
ax.plot(energy.center, flux.quantity[:, 0, 0], **kwargs)
/home/runner/work/gammapy-docs/gammapy-docs/gammapy/.tox/build_docs/lib/python3.11/site-packages/gammapy/modeling/models/spectral.py:650: UserWarning: This axis already has a converter set and is updating to a potentially incompatible converter
ax.plot(energy.center, flux.quantity[:, 0, 0], **kwargs)
/home/runner/work/gammapy-docs/gammapy-docs/gammapy/.tox/build_docs/lib/python3.11/site-packages/gammapy/modeling/models/spectral.py:650: UserWarning: This axis already has a converter set and is updating to a potentially incompatible converter
ax.plot(energy.center, flux.quantity[:, 0, 0], **kwargs)
What next?#
The methods shown in this tutorial is valid for point-like or slightly extended sources where we can assume that the IRF taken at the region center is valid over the whole region. If one wants to extract the 1D spectrum of a large source and properly average the response over the extraction region, one has to use a different approach explained in the Spectral analysis of extended sources tutorial.
Total running time of the script: (1 minutes 53.618 seconds)