Note
Go to the end to download the full example code or to run this example in your browser via Binder.
Priors#
Learn how you can include prior knowledge into the fitting by setting priors on single parameters.
Prerequisites#
Knowledge of spectral analysis to produce 1D spectral datasets, see the Spectral analysis tutorial.
Knowledge of fitting models to datasets, see Fitting tutorial
General knowledge of statistics and priors
Context#
Generally, the set of parameters describing best the data is where the fit statistic \(2 x log L\) has its global minimum. Depending on the type of background estimation, it is either the Cash fit statistic or the WStat (see Fit statistics for more details).
A prior on the value of some of the parameters can be added to this fit statistic. The prior is again a probability density function of the model parameters and can take different forms, including Gaussian distributions, uniform distributions, etc. The prior includes information or knowledge about the dataset or the parameters of the fit.
Setting priors on multiple parameters simultaneously is supported, However, for now, they should not be correlated.
The spectral dataset used here contains a simulated power-law source and its IRFs are based on H.E.S.S. data of the Crab Nebula (similar to Fitting). We are simulating the source here, so that we can control the input and check the correctness of the fit results.
The tutorial addresses three examples:
Including prior information about the sources index
How to add a custom prior class?
Encouraging positive amplitude values
In the first example, the Gaussian prior is used. It is shown how to set a prior on a model parameter and how it modifies the fit statistics. A source is simulated without statistics and fitted with and without the priors. The different fit results are discussed.
For the second example, 1000 datasets containing a very weak source are simulated. Due to the statistical fluctuations, the amplitude’s best-fit value is negative for some draws. By setting a uniform prior on the amplitude, this can be avoided.
The setup#
import numpy as np
from astropy import units as u
import matplotlib.pyplot as plt
from gammapy.datasets import SpectrumDatasetOnOff
from gammapy.modeling import Fit
from gammapy.modeling.models import (
GaussianPrior,
PowerLawSpectralModel,
SkyModel,
)
Model and dataset#
First, we define the source model, a power-law with an index of \(2.3\)
pl_spectrum = PowerLawSpectralModel(
index=2.3,
amplitude=1e-11 / u.cm**2 / u.s / u.TeV,
)
model = SkyModel(spectral_model=pl_spectrum, name="simu-source")
The data and background are read from pre-computed ON/OFF datasets of
H.E.S.S. observations. For simplicity, we stack them together and transform
the dataset to a SpectrumDataset. Then we set the model and create
an Asimov dataset (dataset without statistics) by setting the counts as
the model predictions.
dataset = SpectrumDatasetOnOff.read(
"$GAMMAPY_DATA/joint-crab/spectra/hess/pha_obs23523.fits"
)
# Set model and fit range
e_min = 0.66 * u.TeV
e_max = 30 * u.TeV
dataset.mask_fit = dataset.counts.geom.energy_mask(e_min, e_max)
dataset = dataset.to_spectrum_dataset()
dataset1 = dataset.copy()
dataset1.models = model.copy(name="model")
dataset1.counts = dataset1.npred()
Example 1: Including Prior Information about the Sources Index#
This example illustrate the maximum a posteriori (MAP) method which differs from the maximum likelihood by the introduction of priors. The index was assumed to be \(2.3\). However, let us assume you have reasons to believe that the index value of the source is actually \(2.1\). This can be due to theoretical predictions, other instruments’ results, etc. We can now create a Gaussian distributed prior with a minimum at the expected value of \(2.1\). The standard deviation of the Gaussian quantifies how much we believe the prior knowledge to be true. The smaller the standard deviation, the stronger the constraining ability of the prior. For now, we set it to the arbitrary value of \(0.1\).
# initialising the gaussian prior
gaussianprior = GaussianPrior(mu=2.1, sigma=0.1)
# setting the gaussian prior on the index parameter
model_prior = model.copy()
model_prior.parameters["index"].prior = gaussianprior
The value of the prior depends on the value of the index. If the index value equals the Gaussians mean (here 2.1), the prior is zero. This means that nothing is added to the cash statistics, and this value is favoured in the fit. If the value of the index deviates from the mean of 2.1, a prior value > 0 is added to the cash statistics.
# For the visualisation, the values are appended to the list; this is not a necessity for the fitting
prior_stat_sums = []
with model_prior.parameters.restore_status():
i_scan = np.linspace(1.8, 2.4, 100)
for a in i_scan:
model_prior.parameters["index"].value = a
prior_stat_sums.append(model_prior.parameters.prior_stat_sum())
plt.plot(
i_scan,
prior_stat_sums,
color="tab:orange",
linestyle="dashed",
label=f"Gaussian Prior: \n$\mu = {gaussianprior.mu.value}$; $\sigma = {gaussianprior.sigma.value}$",
)
plt.axvline(x=gaussianprior.mu.value, color="red")
plt.xlabel("Index Value")
plt.ylabel("Prior")
plt.legend()
plt.show()

Fitting a Dataset with and without the Prior#
Now, we copy the dataset consisting of the power-law source and assign the model with the Gaussian prior set on its index to it. Both of the datasets are fitted.
dataset1.fake()
dataset1_prior = dataset1.copy()
dataset1_prior.models = model_prior.copy(name="prior-model")
fit = Fit()
results = fit.run(dataset1)
results_prior = fit.run(dataset1_prior)
The parameters table will mention the type of prior associated to each model
model type name value ... max frozen link prior
----------- ---- --------- ---------- ... --- ------ ---- -------------
prior-model index 2.0963e+00 ... nan False GaussianPrior
prior-model amplitude 6.2353e-12 ... nan False
prior-model reference 1.0000e+00 ... nan True
To see the details of the priors, eg:
print(results_prior.models.parameters["index"].prior)
GaussianPrior
type name value unit error min max
----- ----- ---------- ---- --------- --- ---
prior mu 2.1000e+00 0.000e+00 nan nan
prior sigma 1.0000e-01 0.000e+00 nan nan
The Likelihood profiles can be computed for both the datasets. Hereby, the likelihood gets computed for different values of the index. For each step the other free parameters are getting reoptimized.
dataset1.models.parameters["index"].scan_n_values = 20
dataset1_prior.models.parameters["index"].scan_n_values = 20
scan = fit.stat_profile(datasets=dataset1, parameter="index", reoptimize=True)
scan_prior = fit.stat_profile(
datasets=dataset1_prior, parameter="index", reoptimize=True
)
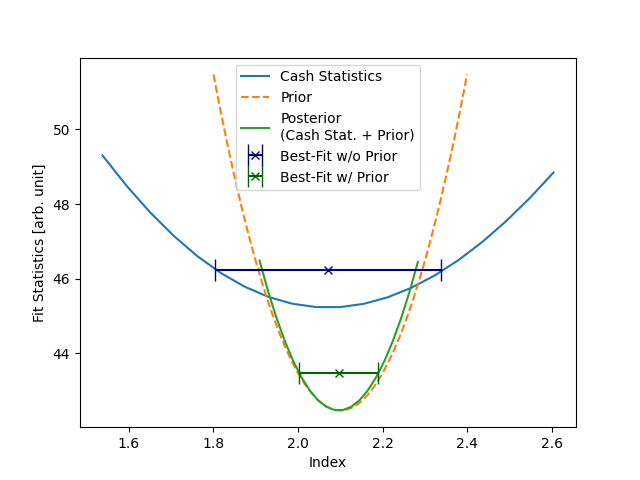
Now, we can compare the two Likelihood scans. In the first case, we did not set any prior. This means that only the Cash Statistic itself is getting minimized. The Cash statistics minimum is the actual value of the index we used for the simulation (\(2.3\)). Therefore, the best-fit value was found to be \(2.3\). Note how the error bars correspond to the \(1\sigma\) error, i.e. where the stat sum equals the minimum + 1.
The plot also shows the prior we set on the index for the second dataset. The scan was computed above. If the logarithm of the prior is added to the cash statistics, one ends up with the posterior function. The posterior is minimized during the second fit to obtain the maximum a posteriori estimation. Its minimum is between the priors and the cash statistics minimum. The best-fit value is \(2.16\). We weighed the truth with our prior beliefs and ended up with a compromise between the values. The uncertainty of the parameter is again where the posterior distributions equal its minimum + 1.
The best-fit index value and uncertainty depend strongly on the standard deviation of the Gaussian prior. You can vary \(\sigma\) and see how the Likelihood profiles and corresponding minima will change.
plt.plot(scan["model.spectral.index_scan"], scan["stat_scan"], label="Cash Statistics")
plt.plot(
i_scan,
np.array(prior_stat_sums) + np.min(scan["stat_scan"]),
linestyle="dashed",
label="Prior",
)
plt.plot(
scan_prior["prior-model.spectral.index_scan"],
scan_prior["stat_scan"],
label="Posterior\n(Cash Stat. + Prior)",
)
par = dataset1.models.parameters["index"]
plt.errorbar(
x=par.value,
y=np.min(scan["stat_scan"]) + 1,
xerr=par.error,
fmt="x",
markersize=6,
capsize=8,
color="darkblue",
label="Best-Fit w/o Prior",
)
par = dataset1_prior.models.parameters["index"]
plt.errorbar(
x=par.value,
y=np.min(scan_prior["stat_scan"]) + 1,
xerr=par.error,
fmt="x",
markersize=6,
capsize=8,
color="darkgreen",
label="Best-Fit w/ Prior",
)
plt.legend()
# plt.ylim(31.5,35)
plt.xlabel("Index")
plt.ylabel("Fit Statistics [arb. unit]")
plt.show()

This example shows a critical note on using priors: we were able to manipulate the best-fit index. This can have multiple advantages if one wants to include additional information. But it should always be used carefully to not falsify or bias any results!
Note how the \(\Delta\)TS of the dataset with the prior set is larger (\(-53.91\)) than the one without prior (\(-55.03\)) since the index is not fitted to the underlying true value. If the Gaussian priors mean were the true value of \(2.3\), the index would be fitted correctly, and the \(\Delta\)TS values would be the same.
Implementing a custom prior#
To add a use case specific prior one has to create a prior subclass containing:
a
tagand a_typeused for the serializationan instantiation of each
PriorParameterwith their unit and default valuesthe` evaluate` function where the mathematical expression for the prior is defined.
if the prior has to be used for sampling it should also define a
_inverse_cdffunction (in that case the pdf has to integrate to unity).
As an example for a custom prior a Jeffrey prior for a scale parameter is chosen.
The only parameter is sigma and the evaluation method return the squared inverse of sigma.
from gammapy.modeling import PriorParameter
from gammapy.modeling.models import Model, Prior
class MyCustomPrior(Prior):
"""Custom Prior.
Parameters
----------
min : float
Minimum value.
Default is -inf.
max : float
Maximum value.
Default is inf.
"""
tag = ["MyCustomPrior"]
sigma = PriorParameter(name="sigma", value=1, unit="")
_type = "prior"
@staticmethod
def evaluate(value, sigma):
"""Evaluate the custom prior."""
return value / sigma**2
# The custom prior is added to the PRIOR_REGISTRY so that it can be serialised.
from gammapy.modeling.models import PRIOR_REGISTRY
PRIOR_REGISTRY.append(MyCustomPrior)
# The custom prior is set on the index of a powerlaw spectral model and is evaluated.
customprior = MyCustomPrior(sigma=0.5)
pwl = PowerLawSpectralModel()
pwl.parameters["index"].prior = customprior
customprior(pwl.parameters["index"])
# The power law spectral model can be written into a dictionary.
# If a model is read in from this dictionary, the custom prior is still set on the index.
print(pwl.to_dict())
model_read = Model.from_dict(pwl.to_dict())
model_read.parameters.prior
{'spectral': {'type': 'PowerLawSpectralModel', 'parameters': [{'name': 'index', 'value': 2.0, 'prior': {'type': 'MyCustomPrior', 'parameters': [{'name': 'sigma', 'value': 0.5, 'unit': ''}], 'weight': 1}}, {'name': 'amplitude', 'value': 1e-12, 'unit': 'TeV-1 s-1 cm-2'}, {'name': 'reference', 'value': 1.0, 'unit': 'TeV'}]}}
[<__main__.MyCustomPrior object at 0x7f9089f13510>, None, None]
Example 2: Encouraging Positive Amplitude Values#
This second example is a form of penalized likelihood.
Let’s assume we want to encourage the amplitude to have
positive, i.e. physical, values. Instead of setting hard bounds, we can
also set a uniform penalisation, which prefers positive values to negatives.
For this use case we are going to define a UniformPenalty.
class UniformPenalty(Prior):
"""Uniform Penalty.
Returns 0 if the parameter value is in ]min, max[.
Returns the penalty value, if otherwise.
Parameters
----------
min : float, optional
Minimum value.
Default is -`~numpy.inf`.
max : float, optional
Maximum value.
Default is `~numpy.inf`.
penalty : float, optional
Penalization constant.
Default is 1.
"""
tag = ["UniformPenalty"]
_type = "prior"
min = PriorParameter(name="min", value=-np.inf, unit="")
max = PriorParameter(name="max", value=np.inf, unit="")
penalty = PriorParameter(name="penalty", value=1, unit="")
@staticmethod
def evaluate(value, min, max, penalty):
"""Evaluate the uniform prior."""
if min < value < max:
return 0.0
else:
return penalty
@property
def _inverse_cdf(self):
raise ValueError(
"UniformPenalty is not a distribution it cannot be used for sampling"
)
We set the amplitude of the power-law used to simulate the source to a very small value. Together with statistical fluctuations, this could result in some negative amplitude best-fit values.
model_weak = SkyModel(
PowerLawSpectralModel(
amplitude=1e-13 / u.cm**2 / u.s / u.TeV,
),
name="weak-model",
)
model_weak_prior = model_weak.copy(name="weak-model-prior")
uniform_penalty = UniformPenalty(min=0, max=np.inf, penalty=2)
model_weak_prior.parameters["amplitude"].prior = uniform_penalty
We set the minimum value to zero and the maximum value to infinity. Outside of ]min, max[ the prior statistic will be penalized by a constant value of 2 as given by the penalty parameter.
uni_prior_stat_sums = []
with model_weak_prior.parameters.restore_status():
a_scan = np.linspace(-1, 1, 100)
for a in a_scan:
model_weak_prior.parameters["amplitude"].value = a
uni_prior_stat_sums.append(model_weak_prior.parameters.prior_stat_sum())
plt.plot(
a_scan,
uni_prior_stat_sums,
color="tab:orange",
linestyle="dashed",
label=f"Uniform Prior\n $min={uniform_penalty.min.value}$, penalty={uniform_penalty.penalty.value}",
)
plt.xlabel("Amplitude Value [1 / (TeV s cm2)]")
plt.ylabel("Prior")
plt.legend()
plt.xlim([-1, 1])
plt.show()

Fitting Multiple Datasets with and without the Prior#
To showcase how the uniform prior affects the fit results, \(100\) datasets are created and fitted without and with the prior
results, results_prior = [], []
N = 100
dataset2 = dataset.copy()
for n in range(N):
# simulating the dataset
dataset2.models = model_weak.copy()
dataset2.fake(random_state=42 + n)
dataset2_prior = dataset2.copy()
dataset2_prior.models = model_weak_prior.copy()
# fitting without the prior
fit = Fit()
result = fit.optimize(dataset2)
results.append(
{
"index": result.parameters["index"].value,
"amplitude": result.parameters["amplitude"].value,
}
)
# fitting with the prior
fit_prior = Fit()
result = fit_prior.optimize(dataset2_prior)
results_prior.append(
{
"index": result.parameters["index"].value,
"amplitude": result.parameters["amplitude"].value,
}
)
fig, axs = plt.subplots(1, 2, figsize=(7, 4))
for i, parname in enumerate(["index", "amplitude"]):
par = np.array([_[parname] for _ in results])
c, bins, _ = axs[i].hist(par, bins=20, alpha=0.5, label="Without Prior")
par = np.array([_[parname] for _ in results_prior])
axs[i].hist(par, bins=bins, alpha=0.5, color="tab:green", label="With Prior")
axs[i].axvline(x=model_weak.parameters[parname].value, color="red")
axs[i].set_xlabel(f"Reconstructed spectral\n {parname}")
axs[i].legend()
plt.tight_layout()
plt.show()

/home/runner/work/gammapy-docs/gammapy-docs/gammapy/.tox/build_docs/lib/python3.11/site-packages/astropy/units/quantity.py:648: RuntimeWarning: overflow encountered in power
result = super().__array_ufunc__(function, method, *arrays, **kwargs)
/home/runner/work/gammapy-docs/gammapy-docs/gammapy/.tox/build_docs/lib/python3.11/site-packages/astropy/units/quantity.py:648: RuntimeWarning: invalid value encountered in subtract
result = super().__array_ufunc__(function, method, *arrays, **kwargs)
/home/runner/work/gammapy-docs/gammapy-docs/gammapy/.tox/build_docs/lib/python3.11/site-packages/gammapy/datasets/utils.py:72: RuntimeWarning: invalid value encountered in matmul
data = np.matmul(data, edisp.pdf_matrix)
/home/runner/work/gammapy-docs/gammapy-docs/gammapy/.tox/build_docs/lib/python3.11/site-packages/astropy/units/quantity.py:648: RuntimeWarning: overflow encountered in multiply
result = super().__array_ufunc__(function, method, *arrays, **kwargs)
/home/runner/work/gammapy-docs/gammapy-docs/gammapy/.tox/build_docs/lib/python3.11/site-packages/astropy/units/quantity.py:648: RuntimeWarning: invalid value encountered in multiply
result = super().__array_ufunc__(function, method, *arrays, **kwargs)
/home/runner/work/gammapy-docs/gammapy-docs/gammapy/.tox/build_docs/lib/python3.11/site-packages/astropy/units/quantity.py:648: RuntimeWarning: overflow encountered in power
result = super().__array_ufunc__(function, method, *arrays, **kwargs)
/home/runner/work/gammapy-docs/gammapy-docs/gammapy/.tox/build_docs/lib/python3.11/site-packages/astropy/units/quantity.py:648: RuntimeWarning: invalid value encountered in subtract
result = super().__array_ufunc__(function, method, *arrays, **kwargs)
/home/runner/work/gammapy-docs/gammapy-docs/gammapy/.tox/build_docs/lib/python3.11/site-packages/gammapy/datasets/utils.py:72: RuntimeWarning: invalid value encountered in matmul
data = np.matmul(data, edisp.pdf_matrix)
/home/runner/work/gammapy-docs/gammapy-docs/gammapy/.tox/build_docs/lib/python3.11/site-packages/astropy/units/quantity.py:648: RuntimeWarning: invalid value encountered in multiply
result = super().__array_ufunc__(function, method, *arrays, **kwargs)
/home/runner/work/gammapy-docs/gammapy-docs/gammapy/.tox/build_docs/lib/python3.11/site-packages/astropy/units/quantity.py:648: RuntimeWarning: overflow encountered in power
result = super().__array_ufunc__(function, method, *arrays, **kwargs)
/home/runner/work/gammapy-docs/gammapy-docs/gammapy/.tox/build_docs/lib/python3.11/site-packages/astropy/units/quantity.py:648: RuntimeWarning: invalid value encountered in subtract
result = super().__array_ufunc__(function, method, *arrays, **kwargs)
/home/runner/work/gammapy-docs/gammapy-docs/gammapy/.tox/build_docs/lib/python3.11/site-packages/gammapy/datasets/utils.py:72: RuntimeWarning: invalid value encountered in matmul
data = np.matmul(data, edisp.pdf_matrix)
/home/runner/work/gammapy-docs/gammapy-docs/gammapy/.tox/build_docs/lib/python3.11/site-packages/astropy/units/quantity.py:648: RuntimeWarning: invalid value encountered in multiply
result = super().__array_ufunc__(function, method, *arrays, **kwargs)
/home/runner/work/gammapy-docs/gammapy-docs/gammapy/.tox/build_docs/lib/python3.11/site-packages/astropy/units/quantity.py:648: RuntimeWarning: overflow encountered in power
result = super().__array_ufunc__(function, method, *arrays, **kwargs)
/home/runner/work/gammapy-docs/gammapy-docs/gammapy/.tox/build_docs/lib/python3.11/site-packages/astropy/units/quantity.py:648: RuntimeWarning: invalid value encountered in subtract
result = super().__array_ufunc__(function, method, *arrays, **kwargs)
/home/runner/work/gammapy-docs/gammapy-docs/gammapy/.tox/build_docs/lib/python3.11/site-packages/gammapy/datasets/utils.py:72: RuntimeWarning: invalid value encountered in matmul
data = np.matmul(data, edisp.pdf_matrix)
/home/runner/work/gammapy-docs/gammapy-docs/gammapy/.tox/build_docs/lib/python3.11/site-packages/astropy/units/quantity.py:648: RuntimeWarning: invalid value encountered in multiply
result = super().__array_ufunc__(function, method, *arrays, **kwargs)
/home/runner/work/gammapy-docs/gammapy-docs/gammapy/.tox/build_docs/lib/python3.11/site-packages/astropy/units/quantity.py:648: RuntimeWarning: overflow encountered in power
result = super().__array_ufunc__(function, method, *arrays, **kwargs)
/home/runner/work/gammapy-docs/gammapy-docs/gammapy/.tox/build_docs/lib/python3.11/site-packages/astropy/units/quantity.py:648: RuntimeWarning: invalid value encountered in subtract
result = super().__array_ufunc__(function, method, *arrays, **kwargs)
/home/runner/work/gammapy-docs/gammapy-docs/gammapy/.tox/build_docs/lib/python3.11/site-packages/gammapy/datasets/utils.py:72: RuntimeWarning: invalid value encountered in matmul
data = np.matmul(data, edisp.pdf_matrix)
/home/runner/work/gammapy-docs/gammapy-docs/gammapy/.tox/build_docs/lib/python3.11/site-packages/astropy/units/quantity.py:648: RuntimeWarning: invalid value encountered in multiply
result = super().__array_ufunc__(function, method, *arrays, **kwargs)
/home/runner/work/gammapy-docs/gammapy-docs/gammapy/.tox/build_docs/lib/python3.11/site-packages/astropy/units/quantity.py:648: RuntimeWarning: overflow encountered in power
result = super().__array_ufunc__(function, method, *arrays, **kwargs)
/home/runner/work/gammapy-docs/gammapy-docs/gammapy/.tox/build_docs/lib/python3.11/site-packages/astropy/units/quantity.py:648: RuntimeWarning: invalid value encountered in subtract
result = super().__array_ufunc__(function, method, *arrays, **kwargs)
/home/runner/work/gammapy-docs/gammapy-docs/gammapy/.tox/build_docs/lib/python3.11/site-packages/astropy/units/quantity.py:648: RuntimeWarning: invalid value encountered in multiply
result = super().__array_ufunc__(function, method, *arrays, **kwargs)
/home/runner/work/gammapy-docs/gammapy-docs/gammapy/.tox/build_docs/lib/python3.11/site-packages/astropy/units/quantity.py:648: RuntimeWarning: overflow encountered in power
result = super().__array_ufunc__(function, method, *arrays, **kwargs)
/home/runner/work/gammapy-docs/gammapy-docs/gammapy/.tox/build_docs/lib/python3.11/site-packages/astropy/units/quantity.py:648: RuntimeWarning: invalid value encountered in subtract
result = super().__array_ufunc__(function, method, *arrays, **kwargs)
/home/runner/work/gammapy-docs/gammapy-docs/gammapy/.tox/build_docs/lib/python3.11/site-packages/astropy/units/quantity.py:648: RuntimeWarning: invalid value encountered in multiply
result = super().__array_ufunc__(function, method, *arrays, **kwargs)
/home/runner/work/gammapy-docs/gammapy-docs/gammapy/.tox/build_docs/lib/python3.11/site-packages/astropy/units/quantity.py:648: RuntimeWarning: overflow encountered in power
result = super().__array_ufunc__(function, method, *arrays, **kwargs)
/home/runner/work/gammapy-docs/gammapy-docs/gammapy/.tox/build_docs/lib/python3.11/site-packages/astropy/units/quantity.py:648: RuntimeWarning: invalid value encountered in subtract
result = super().__array_ufunc__(function, method, *arrays, **kwargs)
/home/runner/work/gammapy-docs/gammapy-docs/gammapy/.tox/build_docs/lib/python3.11/site-packages/gammapy/datasets/utils.py:72: RuntimeWarning: invalid value encountered in matmul
data = np.matmul(data, edisp.pdf_matrix)
/home/runner/work/gammapy-docs/gammapy-docs/gammapy/.tox/build_docs/lib/python3.11/site-packages/astropy/units/quantity.py:648: RuntimeWarning: invalid value encountered in multiply
result = super().__array_ufunc__(function, method, *arrays, **kwargs)
/home/runner/work/gammapy-docs/gammapy-docs/gammapy/.tox/build_docs/lib/python3.11/site-packages/astropy/units/quantity.py:648: RuntimeWarning: overflow encountered in multiply
result = super().__array_ufunc__(function, method, *arrays, **kwargs)
/home/runner/work/gammapy-docs/gammapy-docs/gammapy/.tox/build_docs/lib/python3.11/site-packages/astropy/units/quantity.py:648: RuntimeWarning: overflow encountered in power
result = super().__array_ufunc__(function, method, *arrays, **kwargs)
/home/runner/work/gammapy-docs/gammapy-docs/gammapy/.tox/build_docs/lib/python3.11/site-packages/astropy/units/quantity.py:648: RuntimeWarning: invalid value encountered in subtract
result = super().__array_ufunc__(function, method, *arrays, **kwargs)
/home/runner/work/gammapy-docs/gammapy-docs/gammapy/.tox/build_docs/lib/python3.11/site-packages/astropy/units/quantity.py:648: RuntimeWarning: invalid value encountered in multiply
result = super().__array_ufunc__(function, method, *arrays, **kwargs)
/home/runner/work/gammapy-docs/gammapy-docs/gammapy/.tox/build_docs/lib/python3.11/site-packages/astropy/units/quantity.py:648: RuntimeWarning: overflow encountered in power
result = super().__array_ufunc__(function, method, *arrays, **kwargs)
/home/runner/work/gammapy-docs/gammapy-docs/gammapy/.tox/build_docs/lib/python3.11/site-packages/astropy/units/quantity.py:648: RuntimeWarning: invalid value encountered in subtract
result = super().__array_ufunc__(function, method, *arrays, **kwargs)
/home/runner/work/gammapy-docs/gammapy-docs/gammapy/.tox/build_docs/lib/python3.11/site-packages/astropy/units/quantity.py:648: RuntimeWarning: invalid value encountered in multiply
result = super().__array_ufunc__(function, method, *arrays, **kwargs)
/home/runner/work/gammapy-docs/gammapy-docs/gammapy/.tox/build_docs/lib/python3.11/site-packages/gammapy/datasets/utils.py:72: RuntimeWarning: invalid value encountered in matmul
data = np.matmul(data, edisp.pdf_matrix)
/home/runner/work/gammapy-docs/gammapy-docs/gammapy/.tox/build_docs/lib/python3.11/site-packages/astropy/units/quantity.py:648: RuntimeWarning: overflow encountered in multiply
result = super().__array_ufunc__(function, method, *arrays, **kwargs)
/home/runner/work/gammapy-docs/gammapy-docs/gammapy/.tox/build_docs/lib/python3.11/site-packages/astropy/units/quantity.py:648: RuntimeWarning: overflow encountered in power
result = super().__array_ufunc__(function, method, *arrays, **kwargs)
/home/runner/work/gammapy-docs/gammapy-docs/gammapy/.tox/build_docs/lib/python3.11/site-packages/astropy/units/quantity.py:648: RuntimeWarning: invalid value encountered in subtract
result = super().__array_ufunc__(function, method, *arrays, **kwargs)
/home/runner/work/gammapy-docs/gammapy-docs/gammapy/.tox/build_docs/lib/python3.11/site-packages/gammapy/datasets/utils.py:72: RuntimeWarning: invalid value encountered in matmul
data = np.matmul(data, edisp.pdf_matrix)
/home/runner/work/gammapy-docs/gammapy-docs/gammapy/.tox/build_docs/lib/python3.11/site-packages/astropy/units/quantity.py:648: RuntimeWarning: invalid value encountered in multiply
result = super().__array_ufunc__(function, method, *arrays, **kwargs)
/home/runner/work/gammapy-docs/gammapy-docs/gammapy/.tox/build_docs/lib/python3.11/site-packages/astropy/units/quantity.py:648: RuntimeWarning: overflow encountered in power
result = super().__array_ufunc__(function, method, *arrays, **kwargs)
/home/runner/work/gammapy-docs/gammapy-docs/gammapy/.tox/build_docs/lib/python3.11/site-packages/astropy/units/quantity.py:648: RuntimeWarning: invalid value encountered in subtract
result = super().__array_ufunc__(function, method, *arrays, **kwargs)
/home/runner/work/gammapy-docs/gammapy-docs/gammapy/.tox/build_docs/lib/python3.11/site-packages/gammapy/datasets/utils.py:72: RuntimeWarning: invalid value encountered in matmul
data = np.matmul(data, edisp.pdf_matrix)
/home/runner/work/gammapy-docs/gammapy-docs/gammapy/.tox/build_docs/lib/python3.11/site-packages/astropy/units/quantity.py:648: RuntimeWarning: invalid value encountered in multiply
result = super().__array_ufunc__(function, method, *arrays, **kwargs)
/home/runner/work/gammapy-docs/gammapy-docs/gammapy/.tox/build_docs/lib/python3.11/site-packages/astropy/units/quantity.py:648: RuntimeWarning: overflow encountered in multiply
result = super().__array_ufunc__(function, method, *arrays, **kwargs)
/home/runner/work/gammapy-docs/gammapy-docs/gammapy/.tox/build_docs/lib/python3.11/site-packages/astropy/units/quantity.py:648: RuntimeWarning: overflow encountered in power
result = super().__array_ufunc__(function, method, *arrays, **kwargs)
/home/runner/work/gammapy-docs/gammapy-docs/gammapy/.tox/build_docs/lib/python3.11/site-packages/astropy/units/quantity.py:648: RuntimeWarning: invalid value encountered in subtract
result = super().__array_ufunc__(function, method, *arrays, **kwargs)
/home/runner/work/gammapy-docs/gammapy-docs/gammapy/.tox/build_docs/lib/python3.11/site-packages/gammapy/datasets/utils.py:72: RuntimeWarning: invalid value encountered in matmul
data = np.matmul(data, edisp.pdf_matrix)
/home/runner/work/gammapy-docs/gammapy-docs/gammapy/.tox/build_docs/lib/python3.11/site-packages/astropy/units/quantity.py:648: RuntimeWarning: overflow encountered in power
result = super().__array_ufunc__(function, method, *arrays, **kwargs)
/home/runner/work/gammapy-docs/gammapy-docs/gammapy/.tox/build_docs/lib/python3.11/site-packages/astropy/units/quantity.py:648: RuntimeWarning: invalid value encountered in subtract
result = super().__array_ufunc__(function, method, *arrays, **kwargs)
/home/runner/work/gammapy-docs/gammapy-docs/gammapy/.tox/build_docs/lib/python3.11/site-packages/gammapy/datasets/utils.py:72: RuntimeWarning: invalid value encountered in matmul
data = np.matmul(data, edisp.pdf_matrix)
/home/runner/work/gammapy-docs/gammapy-docs/gammapy/.tox/build_docs/lib/python3.11/site-packages/astropy/units/quantity.py:648: RuntimeWarning: invalid value encountered in multiply
result = super().__array_ufunc__(function, method, *arrays, **kwargs)
/home/runner/work/gammapy-docs/gammapy-docs/gammapy/.tox/build_docs/lib/python3.11/site-packages/astropy/units/quantity.py:648: RuntimeWarning: overflow encountered in power
result = super().__array_ufunc__(function, method, *arrays, **kwargs)
/home/runner/work/gammapy-docs/gammapy-docs/gammapy/.tox/build_docs/lib/python3.11/site-packages/astropy/units/quantity.py:648: RuntimeWarning: invalid value encountered in subtract
result = super().__array_ufunc__(function, method, *arrays, **kwargs)
/home/runner/work/gammapy-docs/gammapy-docs/gammapy/.tox/build_docs/lib/python3.11/site-packages/gammapy/datasets/utils.py:72: RuntimeWarning: invalid value encountered in matmul
data = np.matmul(data, edisp.pdf_matrix)
/home/runner/work/gammapy-docs/gammapy-docs/gammapy/.tox/build_docs/lib/python3.11/site-packages/astropy/units/quantity.py:648: RuntimeWarning: overflow encountered in multiply
result = super().__array_ufunc__(function, method, *arrays, **kwargs)
/home/runner/work/gammapy-docs/gammapy-docs/gammapy/.tox/build_docs/lib/python3.11/site-packages/astropy/units/quantity.py:648: RuntimeWarning: invalid value encountered in multiply
result = super().__array_ufunc__(function, method, *arrays, **kwargs)
/home/runner/work/gammapy-docs/gammapy-docs/gammapy/.tox/build_docs/lib/python3.11/site-packages/astropy/units/quantity.py:648: RuntimeWarning: overflow encountered in power
result = super().__array_ufunc__(function, method, *arrays, **kwargs)
/home/runner/work/gammapy-docs/gammapy-docs/gammapy/.tox/build_docs/lib/python3.11/site-packages/astropy/units/quantity.py:648: RuntimeWarning: invalid value encountered in subtract
result = super().__array_ufunc__(function, method, *arrays, **kwargs)
/home/runner/work/gammapy-docs/gammapy-docs/gammapy/.tox/build_docs/lib/python3.11/site-packages/astropy/units/quantity.py:648: RuntimeWarning: overflow encountered in multiply
result = super().__array_ufunc__(function, method, *arrays, **kwargs)
/home/runner/work/gammapy-docs/gammapy-docs/gammapy/.tox/build_docs/lib/python3.11/site-packages/gammapy/datasets/utils.py:72: RuntimeWarning: invalid value encountered in matmul
data = np.matmul(data, edisp.pdf_matrix)
/home/runner/work/gammapy-docs/gammapy-docs/gammapy/.tox/build_docs/lib/python3.11/site-packages/astropy/units/quantity.py:648: RuntimeWarning: invalid value encountered in multiply
result = super().__array_ufunc__(function, method, *arrays, **kwargs)
/home/runner/work/gammapy-docs/gammapy-docs/gammapy/.tox/build_docs/lib/python3.11/site-packages/astropy/units/quantity.py:648: RuntimeWarning: overflow encountered in power
result = super().__array_ufunc__(function, method, *arrays, **kwargs)
/home/runner/work/gammapy-docs/gammapy-docs/gammapy/.tox/build_docs/lib/python3.11/site-packages/astropy/units/quantity.py:648: RuntimeWarning: invalid value encountered in subtract
result = super().__array_ufunc__(function, method, *arrays, **kwargs)
/home/runner/work/gammapy-docs/gammapy-docs/gammapy/.tox/build_docs/lib/python3.11/site-packages/gammapy/datasets/utils.py:72: RuntimeWarning: invalid value encountered in matmul
data = np.matmul(data, edisp.pdf_matrix)
/home/runner/work/gammapy-docs/gammapy-docs/gammapy/.tox/build_docs/lib/python3.11/site-packages/astropy/units/quantity.py:648: RuntimeWarning: overflow encountered in power
result = super().__array_ufunc__(function, method, *arrays, **kwargs)
/home/runner/work/gammapy-docs/gammapy-docs/gammapy/.tox/build_docs/lib/python3.11/site-packages/astropy/units/quantity.py:648: RuntimeWarning: invalid value encountered in subtract
result = super().__array_ufunc__(function, method, *arrays, **kwargs)
/home/runner/work/gammapy-docs/gammapy-docs/gammapy/.tox/build_docs/lib/python3.11/site-packages/gammapy/datasets/utils.py:72: RuntimeWarning: invalid value encountered in matmul
data = np.matmul(data, edisp.pdf_matrix)
/home/runner/work/gammapy-docs/gammapy-docs/gammapy/.tox/build_docs/lib/python3.11/site-packages/astropy/units/quantity.py:648: RuntimeWarning: invalid value encountered in multiply
result = super().__array_ufunc__(function, method, *arrays, **kwargs)
/home/runner/work/gammapy-docs/gammapy-docs/gammapy/.tox/build_docs/lib/python3.11/site-packages/astropy/units/quantity.py:648: RuntimeWarning: overflow encountered in power
result = super().__array_ufunc__(function, method, *arrays, **kwargs)
/home/runner/work/gammapy-docs/gammapy-docs/gammapy/.tox/build_docs/lib/python3.11/site-packages/astropy/units/quantity.py:648: RuntimeWarning: invalid value encountered in subtract
result = super().__array_ufunc__(function, method, *arrays, **kwargs)
/home/runner/work/gammapy-docs/gammapy-docs/gammapy/.tox/build_docs/lib/python3.11/site-packages/gammapy/datasets/utils.py:72: RuntimeWarning: invalid value encountered in matmul
data = np.matmul(data, edisp.pdf_matrix)
/home/runner/work/gammapy-docs/gammapy-docs/gammapy/.tox/build_docs/lib/python3.11/site-packages/astropy/units/quantity.py:648: RuntimeWarning: invalid value encountered in multiply
result = super().__array_ufunc__(function, method, *arrays, **kwargs)
/home/runner/work/gammapy-docs/gammapy-docs/gammapy/.tox/build_docs/lib/python3.11/site-packages/astropy/units/quantity.py:648: RuntimeWarning: overflow encountered in multiply
result = super().__array_ufunc__(function, method, *arrays, **kwargs)
/home/runner/work/gammapy-docs/gammapy-docs/gammapy/.tox/build_docs/lib/python3.11/site-packages/astropy/units/quantity.py:648: RuntimeWarning: overflow encountered in power
result = super().__array_ufunc__(function, method, *arrays, **kwargs)
/home/runner/work/gammapy-docs/gammapy-docs/gammapy/.tox/build_docs/lib/python3.11/site-packages/astropy/units/quantity.py:648: RuntimeWarning: invalid value encountered in subtract
result = super().__array_ufunc__(function, method, *arrays, **kwargs)
/home/runner/work/gammapy-docs/gammapy-docs/gammapy/.tox/build_docs/lib/python3.11/site-packages/gammapy/datasets/utils.py:72: RuntimeWarning: invalid value encountered in matmul
data = np.matmul(data, edisp.pdf_matrix)
/home/runner/work/gammapy-docs/gammapy-docs/gammapy/.tox/build_docs/lib/python3.11/site-packages/astropy/units/quantity.py:648: RuntimeWarning: overflow encountered in power
result = super().__array_ufunc__(function, method, *arrays, **kwargs)
/home/runner/work/gammapy-docs/gammapy-docs/gammapy/.tox/build_docs/lib/python3.11/site-packages/astropy/units/quantity.py:648: RuntimeWarning: invalid value encountered in subtract
result = super().__array_ufunc__(function, method, *arrays, **kwargs)
/home/runner/work/gammapy-docs/gammapy-docs/gammapy/.tox/build_docs/lib/python3.11/site-packages/astropy/units/quantity.py:648: RuntimeWarning: overflow encountered in multiply
result = super().__array_ufunc__(function, method, *arrays, **kwargs)
/home/runner/work/gammapy-docs/gammapy-docs/gammapy/.tox/build_docs/lib/python3.11/site-packages/gammapy/datasets/utils.py:72: RuntimeWarning: invalid value encountered in matmul
data = np.matmul(data, edisp.pdf_matrix)
/home/runner/work/gammapy-docs/gammapy-docs/gammapy/.tox/build_docs/lib/python3.11/site-packages/astropy/units/quantity.py:648: RuntimeWarning: overflow encountered in power
result = super().__array_ufunc__(function, method, *arrays, **kwargs)
/home/runner/work/gammapy-docs/gammapy-docs/gammapy/.tox/build_docs/lib/python3.11/site-packages/astropy/units/quantity.py:648: RuntimeWarning: invalid value encountered in subtract
result = super().__array_ufunc__(function, method, *arrays, **kwargs)
/home/runner/work/gammapy-docs/gammapy-docs/gammapy/.tox/build_docs/lib/python3.11/site-packages/gammapy/datasets/utils.py:72: RuntimeWarning: invalid value encountered in matmul
data = np.matmul(data, edisp.pdf_matrix)
/home/runner/work/gammapy-docs/gammapy-docs/gammapy/.tox/build_docs/lib/python3.11/site-packages/astropy/units/quantity.py:648: RuntimeWarning: overflow encountered in multiply
result = super().__array_ufunc__(function, method, *arrays, **kwargs)
/home/runner/work/gammapy-docs/gammapy-docs/gammapy/.tox/build_docs/lib/python3.11/site-packages/astropy/units/quantity.py:648: RuntimeWarning: invalid value encountered in multiply
result = super().__array_ufunc__(function, method, *arrays, **kwargs)
/home/runner/work/gammapy-docs/gammapy-docs/gammapy/.tox/build_docs/lib/python3.11/site-packages/astropy/units/quantity.py:648: RuntimeWarning: overflow encountered in power
result = super().__array_ufunc__(function, method, *arrays, **kwargs)
/home/runner/work/gammapy-docs/gammapy-docs/gammapy/.tox/build_docs/lib/python3.11/site-packages/astropy/units/quantity.py:648: RuntimeWarning: invalid value encountered in subtract
result = super().__array_ufunc__(function, method, *arrays, **kwargs)
/home/runner/work/gammapy-docs/gammapy-docs/gammapy/.tox/build_docs/lib/python3.11/site-packages/astropy/units/quantity.py:648: RuntimeWarning: invalid value encountered in multiply
result = super().__array_ufunc__(function, method, *arrays, **kwargs)
/home/runner/work/gammapy-docs/gammapy-docs/gammapy/.tox/build_docs/lib/python3.11/site-packages/astropy/units/quantity.py:648: RuntimeWarning: overflow encountered in power
result = super().__array_ufunc__(function, method, *arrays, **kwargs)
/home/runner/work/gammapy-docs/gammapy-docs/gammapy/.tox/build_docs/lib/python3.11/site-packages/astropy/units/quantity.py:648: RuntimeWarning: invalid value encountered in subtract
result = super().__array_ufunc__(function, method, *arrays, **kwargs)
/home/runner/work/gammapy-docs/gammapy-docs/gammapy/.tox/build_docs/lib/python3.11/site-packages/gammapy/datasets/utils.py:72: RuntimeWarning: invalid value encountered in matmul
data = np.matmul(data, edisp.pdf_matrix)
/home/runner/work/gammapy-docs/gammapy-docs/gammapy/.tox/build_docs/lib/python3.11/site-packages/astropy/units/quantity.py:648: RuntimeWarning: invalid value encountered in multiply
result = super().__array_ufunc__(function, method, *arrays, **kwargs)
/home/runner/work/gammapy-docs/gammapy-docs/gammapy/.tox/build_docs/lib/python3.11/site-packages/astropy/units/quantity.py:648: RuntimeWarning: overflow encountered in power
result = super().__array_ufunc__(function, method, *arrays, **kwargs)
/home/runner/work/gammapy-docs/gammapy-docs/gammapy/.tox/build_docs/lib/python3.11/site-packages/astropy/units/quantity.py:648: RuntimeWarning: invalid value encountered in subtract
result = super().__array_ufunc__(function, method, *arrays, **kwargs)
/home/runner/work/gammapy-docs/gammapy-docs/gammapy/.tox/build_docs/lib/python3.11/site-packages/astropy/units/quantity.py:648: RuntimeWarning: overflow encountered in multiply
result = super().__array_ufunc__(function, method, *arrays, **kwargs)
/home/runner/work/gammapy-docs/gammapy-docs/gammapy/.tox/build_docs/lib/python3.11/site-packages/gammapy/datasets/utils.py:72: RuntimeWarning: invalid value encountered in matmul
data = np.matmul(data, edisp.pdf_matrix)
/home/runner/work/gammapy-docs/gammapy-docs/gammapy/.tox/build_docs/lib/python3.11/site-packages/astropy/units/quantity.py:648: RuntimeWarning: invalid value encountered in multiply
result = super().__array_ufunc__(function, method, *arrays, **kwargs)
/home/runner/work/gammapy-docs/gammapy-docs/gammapy/.tox/build_docs/lib/python3.11/site-packages/astropy/units/quantity.py:648: RuntimeWarning: overflow encountered in power
result = super().__array_ufunc__(function, method, *arrays, **kwargs)
/home/runner/work/gammapy-docs/gammapy-docs/gammapy/.tox/build_docs/lib/python3.11/site-packages/astropy/units/quantity.py:648: RuntimeWarning: invalid value encountered in subtract
result = super().__array_ufunc__(function, method, *arrays, **kwargs)
/home/runner/work/gammapy-docs/gammapy-docs/gammapy/.tox/build_docs/lib/python3.11/site-packages/gammapy/datasets/utils.py:72: RuntimeWarning: invalid value encountered in matmul
data = np.matmul(data, edisp.pdf_matrix)
/home/runner/work/gammapy-docs/gammapy-docs/gammapy/.tox/build_docs/lib/python3.11/site-packages/astropy/units/quantity.py:648: RuntimeWarning: overflow encountered in power
result = super().__array_ufunc__(function, method, *arrays, **kwargs)
/home/runner/work/gammapy-docs/gammapy-docs/gammapy/.tox/build_docs/lib/python3.11/site-packages/astropy/units/quantity.py:648: RuntimeWarning: invalid value encountered in subtract
result = super().__array_ufunc__(function, method, *arrays, **kwargs)
/home/runner/work/gammapy-docs/gammapy-docs/gammapy/.tox/build_docs/lib/python3.11/site-packages/astropy/units/quantity.py:648: RuntimeWarning: overflow encountered in multiply
result = super().__array_ufunc__(function, method, *arrays, **kwargs)
/home/runner/work/gammapy-docs/gammapy-docs/gammapy/.tox/build_docs/lib/python3.11/site-packages/gammapy/datasets/utils.py:72: RuntimeWarning: invalid value encountered in matmul
data = np.matmul(data, edisp.pdf_matrix)
/home/runner/work/gammapy-docs/gammapy-docs/gammapy/.tox/build_docs/lib/python3.11/site-packages/astropy/units/quantity.py:648: RuntimeWarning: overflow encountered in power
result = super().__array_ufunc__(function, method, *arrays, **kwargs)
/home/runner/work/gammapy-docs/gammapy-docs/gammapy/.tox/build_docs/lib/python3.11/site-packages/astropy/units/quantity.py:648: RuntimeWarning: invalid value encountered in subtract
result = super().__array_ufunc__(function, method, *arrays, **kwargs)
/home/runner/work/gammapy-docs/gammapy-docs/gammapy/.tox/build_docs/lib/python3.11/site-packages/astropy/units/quantity.py:648: RuntimeWarning: overflow encountered in multiply
result = super().__array_ufunc__(function, method, *arrays, **kwargs)
/home/runner/work/gammapy-docs/gammapy-docs/gammapy/.tox/build_docs/lib/python3.11/site-packages/gammapy/datasets/utils.py:72: RuntimeWarning: invalid value encountered in matmul
data = np.matmul(data, edisp.pdf_matrix)
/home/runner/work/gammapy-docs/gammapy-docs/gammapy/.tox/build_docs/lib/python3.11/site-packages/astropy/units/quantity.py:648: RuntimeWarning: overflow encountered in power
result = super().__array_ufunc__(function, method, *arrays, **kwargs)
/home/runner/work/gammapy-docs/gammapy-docs/gammapy/.tox/build_docs/lib/python3.11/site-packages/astropy/units/quantity.py:648: RuntimeWarning: invalid value encountered in subtract
result = super().__array_ufunc__(function, method, *arrays, **kwargs)
/home/runner/work/gammapy-docs/gammapy-docs/gammapy/.tox/build_docs/lib/python3.11/site-packages/gammapy/datasets/utils.py:72: RuntimeWarning: invalid value encountered in matmul
data = np.matmul(data, edisp.pdf_matrix)
The distribution of the best-fit amplitudes shows how less best-fit amplitudes have negative values. This also has an effect on the distribution of the best-fit indices. How exactly the distribution changes depends on the value assigned to the uniform penalty. The larger the penalty, the less negative amplitudes.
Note that the model parameters uncertainties are, per default, computed symmetrical. This can lead to incorrect uncertainties, especially with asymmetrical priors like the previous uniform. Calculating the uncertainties from the profile likelihood is advised. For more details see the Fitting tutorial.
Total running time of the script: (0 minutes 51.295 seconds)