Note
Go to the end to download the full example code or to run this example in your browser via Binder.
Dark matter spatial and spectral models#
Convenience methods for dark matter high level analyses.
Introduction#
Gammapy has some convenience methods for dark matter analyses in
gammapy.astro.darkmatter. These include J-Factor computation and
calculation the expected gamma flux for a number of annihilation
channels. They are presented in this notebook.
The basic concepts of indirect dark matter searches, however, are not explained. So this is aimed at people who already know what the want to do. A good introduction to indirect dark matter searches is given for example here (Chapter 1 and 5).
Setup#
As always, we start with some setup for the notebook, and with imports.
import numpy as np
import astropy.units as u
from astropy.coordinates import SkyCoord
from regions import CircleSkyRegion, RectangleSkyRegion
# %matplotlib inline
import matplotlib.pyplot as plt
from matplotlib.colors import LogNorm
from gammapy.astro.darkmatter import (
DarkMatterAnnihilationSpectralModel,
DarkMatterDecaySpectralModel,
JFactory,
PrimaryFlux,
profiles,
)
from gammapy.maps import WcsGeom, WcsNDMap
Profiles#
The following dark matter profiles are currently implemented. Each model
can be scaled to a given density at a certain distance. These parameters
are controlled by LOCAL_DENSITY and
DISTANCE_GC
profiles.DMProfile.__subclasses__()
for profile in profiles.DMProfile.__subclasses__():
p = profile()
p.scale_to_local_density()
radii = np.logspace(-3, 2, 100) * u.kpc
plt.plot(radii, p(radii), label=p.__class__.__name__)
plt.loglog()
plt.axvline(8.5, linestyle="dashed", color="black", label="local density")
plt.legend()
plt.show()
print("LOCAL_DENSITY:", profiles.DMProfile.LOCAL_DENSITY)
print("DISTANCE_GC:", profiles.DMProfile.DISTANCE_GC)

LOCAL_DENSITY: 0.3 GeV / cm3
DISTANCE_GC: 8.33 kpc
J Factors#
There are utilities to compute J-Factor maps that can serve as a basis to compute J-Factors for certain regions. In the following we compute a J-Factor annihilation map for the Galactic Centre region
profile = profiles.NFWProfile(r_s=20 * u.kpc)
Adopt standard values used in H.E.S.S.
profiles.DMProfile.DISTANCE_GC = 8.5 * u.kpc
profiles.DMProfile.LOCAL_DENSITY = 0.39 * u.Unit("GeV / cm3")
profile.scale_to_local_density()
position = SkyCoord(0.0, 0.0, frame="galactic", unit="deg")
geom = WcsGeom.create(binsz=0.05, skydir=position, width=3.0, frame="galactic")
jfactory = JFactory(geom=geom, profile=profile, distance=profiles.DMProfile.DISTANCE_GC)
jfact = jfactory.compute_jfactor()
jfact_map = WcsNDMap(geom=geom, data=jfact.value, unit=jfact.unit)
Plot the J-factor map
plt.figure()
ax = jfact_map.plot(cmap="viridis", norm=LogNorm(), add_cbar=True)
plt.title(f"J-Factor [{jfact_map.unit}]")
# 1 deg circle usually used in H.E.S.S. analyses without the +/- 0.3 deg band around the plane
sky_reg = CircleSkyRegion(center=position, radius=1 * u.deg)
pix_reg = sky_reg.to_pixel(wcs=geom.wcs)
pix_reg.plot(ax=ax, facecolor="none", edgecolor="red", label="1 deg circle")
sky_reg_rec = RectangleSkyRegion(center=position, height=0.6 * u.deg, width=2 * u.deg)
pix_reg_rec = sky_reg_rec.to_pixel(wcs=geom.wcs)
pix_reg_rec.plot(ax=ax, facecolor="none", edgecolor="orange", label="+/- 0.3 deg band")
plt.legend()
plt.show()
![J-Factor [GeV2 / cm5]](../../_images/sphx_glr_astro_dark_matter_002.png)
Note the value quoted by H.E.S.S. in this paper is \(2.67\times10^{21}\)
total_jfact = (
pix_reg.to_mask().multiply(jfact).sum()
- pix_reg_rec.to_mask().multiply(jfact).sum()
)
total_jfact = (
pix_reg.to_mask().multiply(jfact).sum()
- pix_reg_rec.to_mask().multiply(jfact).sum()
)
print(
"J-factor in 1 deg circle without the +/- 0.3 deg band around GC assuming a "
f"{profile.__class__.__name__} is {total_jfact:.3g}"
)
J-factor in 1 deg circle without the +/- 0.3 deg band around GC assuming a NFWProfile is 2.36e+21 GeV2 / cm5
The J-Factor can also be computed for dark matter decay
jfactory = JFactory(
geom=geom,
profile=profile,
distance=profiles.DMProfile.DISTANCE_GC,
annihilation=False,
)
jfact_decay = jfactory.compute_jfactor()
jfact_map = WcsNDMap(geom=geom, data=jfact_decay.value, unit=jfact_decay.unit)
Plot the J-factor map
plt.figure()
ax = jfact_map.plot(cmap="viridis", norm=LogNorm(), add_cbar=True)
plt.title(f"J-Factor [{jfact_map.unit}]")
# 1 deg circle usually used in H.E.S.S. analyses without the +/- 0.3 deg band around the plane
sky_reg = CircleSkyRegion(center=position, radius=1 * u.deg)
pix_reg = sky_reg.to_pixel(wcs=geom.wcs)
pix_reg.plot(ax=ax, facecolor="none", edgecolor="red", label="1 deg circle")
sky_reg_rec = RectangleSkyRegion(center=position, height=0.6 * u.deg, width=2 * u.deg)
pix_reg_rec = sky_reg_rec.to_pixel(wcs=geom.wcs)
pix_reg_rec.plot(ax=ax, facecolor="none", edgecolor="orange", label="+/- 0.3 deg band")
plt.legend()
plt.show()
![J-Factor [GeV / cm2]](../../_images/sphx_glr_astro_dark_matter_003.png)
total_jfact_decay = (
pix_reg.to_mask().multiply(jfact_decay).sum()
- pix_reg_rec.to_mask().multiply(jfact_decay).sum()
)
total_jfact_decay = (
pix_reg.to_mask().multiply(jfact_decay).sum()
- pix_reg_rec.to_mask().multiply(jfact_decay).sum()
)
print(
"J-factor in 1 deg circle without the +/- 0.3 deg band around GC assuming a "
f"{profile.__class__.__name__} is {total_jfact_decay:.3g}"
)
J-factor in 1 deg circle without the +/- 0.3 deg band around GC assuming a NFWProfile is 1.14e+20 GeV / cm2
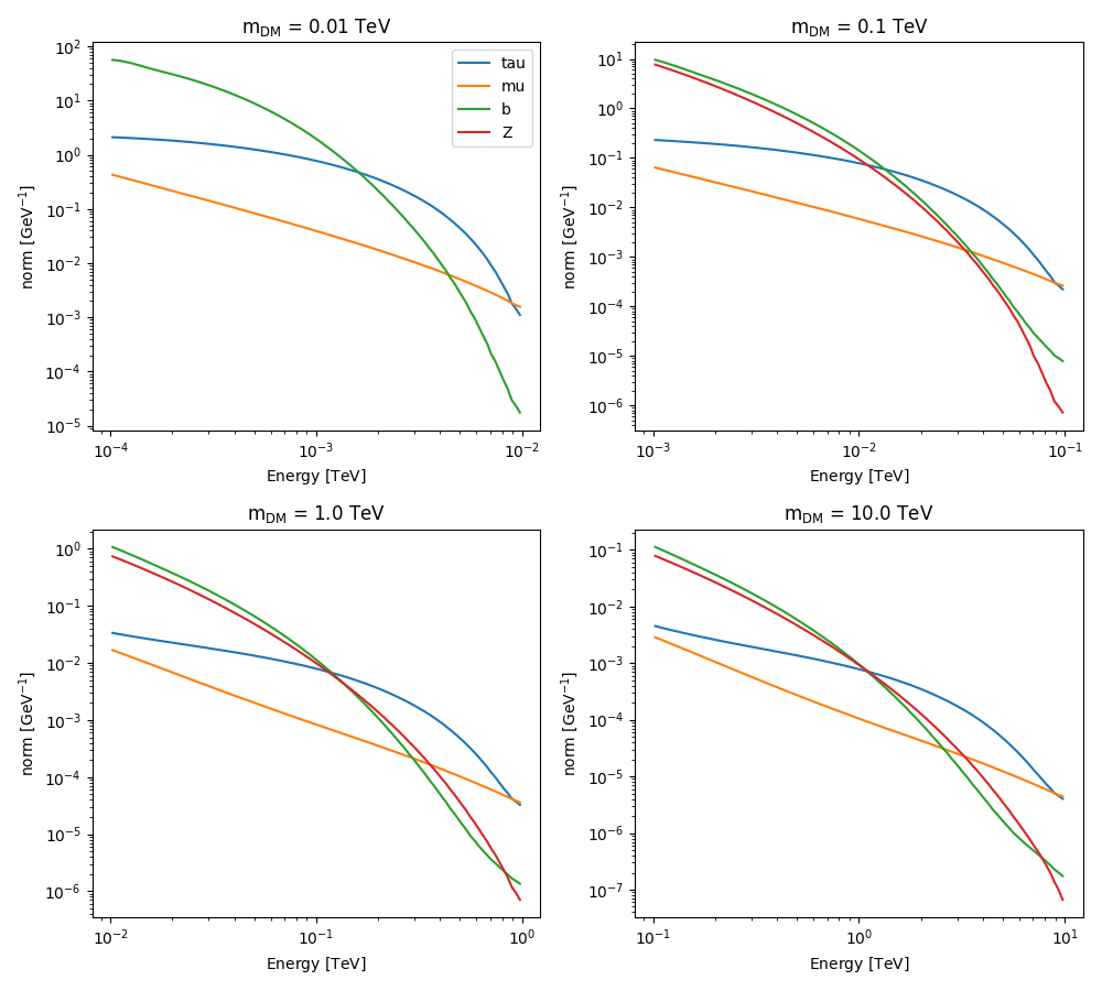
Gamma-ray spectra at production#
The gamma-ray spectrum per annihilation is a further ingredient for a dark matter analysis. The following annihilation channels are supported. For more info see https://arxiv.org/pdf/1012.4515.pdf
fluxes = PrimaryFlux(mDM="1 TeV", channel="eL")
print(fluxes.allowed_channels)
fig, axes = plt.subplots(2, 2, figsize=(10, 9))
axes = axes.flatten()
mDMs = [0.01, 0.1, 1, 10] * u.TeV
for mDM, ax in zip(mDMs, axes):
fluxes.mDM = mDM
ax.set_title(rf"m$_{{\mathrm{{DM}}}}$ = {mDM}")
ax.set_yscale("log")
ax.set_ylabel("dN/dE")
for channel in ["tau", "mu", "b", "Z"]:
fluxes = PrimaryFlux(mDM=mDM, channel=channel)
fluxes.channel = channel
fluxes.plot(
energy_bounds=[mDM / 100, mDM],
ax=ax,
label=channel,
yunits=u.Unit("1/GeV"),
)
axes[0].legend()
fig.tight_layout()
plt.show()

['eL', 'eR', 'e', 'muL', 'muR', 'mu', 'tauL', 'tauR', 'tau', 'q', 'c', 'b', 't', 'WL', 'WT', 'W', 'ZL', 'ZT', 'Z', 'g', 'gamma', 'h', 'nu_e', 'nu_mu', 'nu_tau', 'V->e', 'V->mu', 'V->tau', 'aZ', 'HZ', 'd', 'u', 's']
Flux maps for annihilation#
Finally flux maps can be produced like this:
channel = "Z"
massDM = 10 * u.TeV
diff_flux = DarkMatterAnnihilationSpectralModel(mass=massDM, channel=channel)
int_flux = (
jfact * diff_flux.integral(energy_min=0.1 * u.TeV, energy_max=10 * u.TeV)
).to("cm-2 s-1")
flux_map = WcsNDMap(geom=geom, data=int_flux.value, unit="cm-2 s-1")
plt.figure()
ax = flux_map.plot(cmap="viridis", norm=LogNorm(), add_cbar=True)
plt.title(
f"Flux [{int_flux.unit}]\n m$_{{DM}}$={fluxes.mDM.to('TeV')}, channel={fluxes.channel}"
)
plt.show()
![Flux [1 / (s cm2)] m$_{DM}$=10.0 TeV, channel=Z](../../_images/sphx_glr_astro_dark_matter_005.png)
Flux maps for decay#
Finally flux maps for decay can be produced like this:
channel = "Z"
massDM = 10 * u.TeV
diff_flux = DarkMatterDecaySpectralModel(mass=massDM, channel=channel)
int_flux = (
jfact_decay * diff_flux.integral(energy_min=0.1 * u.TeV, energy_max=10 * u.TeV)
).to("cm-2 s-1")
flux_map = WcsNDMap(geom=geom, data=int_flux.value, unit="cm-2 s-1")
plt.figure()
ax = flux_map.plot(cmap="viridis", norm=LogNorm(), add_cbar=True)
plt.title(
f"Flux [{int_flux.unit}]\n m$_{{DM}}$={fluxes.mDM.to('TeV')}, channel={fluxes.channel}"
)
plt.show()
![Flux [1 / (s cm2)] m$_{DM}$=10.0 TeV, channel=Z](../../_images/sphx_glr_astro_dark_matter_006.png)
Total running time of the script: (0 minutes 25.592 seconds)